Marketed Renewable Electricity Sales Report - Maryland Renewable Energy Portfolio Standard Program - Maryland

Marketed Renewable Electricity Sales Report - Maryland Renewable Energy Portfolio Standard Program - Maryland

Marketed Renewable Electricity Sales Report - Maryland Renewable Energy Portfolio Standard Program is a legal document that was released by the Maryland Public Service Commission - a government authority operating within Maryland.

FAQ

Q: What is the Maryland Renewable Energy Portfolio Standard Program?
A: The Maryland Renewable Energy Portfolio Standard Program is a program that requires electricity suppliers in Maryland to include a certain percentage of renewable energy in their total electricity sales.

Q: What is the purpose of the program?
A: The purpose of the program is to increase the use of renewable energy sources and reduce reliance on fossil fuels in Maryland's electricity supply.

Q: What is the Marketed Renewable Electricity Sales Report?
A: The Marketed Renewable Electricity Sales Report is a report that provides information on the amount of renewable electricity sold by electricity suppliers in Maryland.

Q: Why is the Marketed Renewable Electricity Sales Report important?
A: The report helps to track the progress of the Maryland Renewable Energy Portfolio Standard Program and assess the contribution of renewable energy in the state's electricity supply.

Q: How is the Marketed Renewable Electricity Sales Report compiled?
A: Electricity suppliers in Maryland are required to submit data on their renewable electricity sales to the Maryland Public Service Commission, which then compiles the report.

Q: Who can access the Marketed Renewable Electricity Sales Report?
A: The report is publicly available and can be accessed by anyone who is interested in the Maryland Renewable Energy Portfolio Standard Program and the state's renewable energy efforts.

ADVERTISEMENT

Form Details:

  • The latest edition currently provided by the Maryland Public Service Commission;
  • Ready to use and print;
  • Easy to customize;
  • Compatible with most PDF-viewing applications;
  • Fill out the form in our online filing application.

Download a printable version of the form by clicking the link below or browse more documents and templates provided by the Maryland Public Service Commission.

Download Marketed Renewable Electricity Sales Report - Maryland Renewable Energy Portfolio Standard Program - Maryland

4.5 of 5 (25 votes)
  • Marketed Renewable Electricity Sales Report - Maryland Renewable Energy Portfolio Standard Program - Maryland

    1

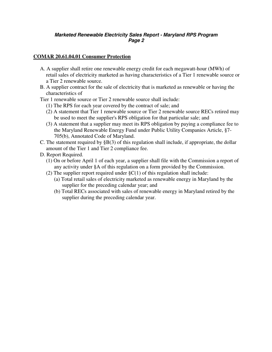
  • Marketed Renewable Electricity Sales Report - Maryland Renewable Energy Portfolio Standard Program - Maryland, Page 2

    2

  • Marketed Renewable Electricity Sales Report - Maryland Renewable Energy Portfolio Standard Program - Maryland, Page 3

    3

  • Marketed Renewable Electricity Sales Report - Maryland Renewable Energy Portfolio Standard Program - Maryland, Page 4

    4

  • Marketed Renewable Electricity Sales Report - Maryland Renewable Energy Portfolio Standard Program - Maryland, Page 1
  • Marketed Renewable Electricity Sales Report - Maryland Renewable Energy Portfolio Standard Program - Maryland, Page 2
  • Marketed Renewable Electricity Sales Report - Maryland Renewable Energy Portfolio Standard Program - Maryland, Page 3
  • Marketed Renewable Electricity Sales Report - Maryland Renewable Energy Portfolio Standard Program - Maryland, Page 4
Prev 1 2 3 4 Next
ADVERTISEMENT