Checklist for Large Buildings (Greater Than 500m2) - Queensland, Australia

Checklist for Large Buildings (Greater Than 500m2) - Queensland, Australia

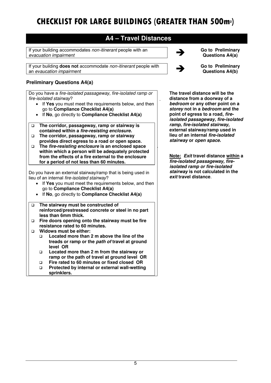
The Checklist for Large Buildings (Greater Than 500m2) in Queensland, Australia is a document that provides guidelines and requirements for ensuring the safety and compliance of large buildings with an area greater than 500m2. It serves as a reference for building owners, developers, architects, and construction professionals to ensure that the building meets necessary standards before occupation.

The building owner or their representative usually files the checklist for large buildings (greater than 500m2) in Queensland, Australia.

FAQ

Q: What are the requirements for large buildings in Queensland, Australia?
A: Large buildings in Queensland, Australia have specific requirements that must be met.

Q: What is the minimum size for a building to be considered 'large' in Queensland, Australia?
A: Buildings greater than 500m2 are considered 'large' in Queensland, Australia.

Q: What types of buildings fall under the category of 'large' in Queensland, Australia?
A: Various types of buildings, including commercial, industrial, and institutional buildings, fall under the category of 'large' in Queensland, Australia.

Q: What is the purpose of the checklist for large buildings in Queensland, Australia?
A: The checklist is designed to ensure that large buildings in Queensland, Australia comply with specific regulations and safety standards.

Q: What are some of the areas covered in the checklist for large buildings in Queensland, Australia?
A: The checklist covers areas such as fire safety, emergency exits, accessibility, noise control, and environmental sustainability.

Q: Who is responsible for ensuring compliance with the checklist for large buildings in Queensland, Australia?
A: Building owners and managers are responsible for ensuring compliance with the checklist for large buildings in Queensland, Australia.

Q: Are there any penalties for non-compliance with the checklist for large buildings in Queensland, Australia?
A: Yes, there may be penalties for non-compliance with the checklist for large buildings in Queensland, Australia, including fines and potential closure of the building.

ADVERTISEMENT

Download Checklist for Large Buildings (Greater Than 500m2) - Queensland, Australia

4.7 of 5 (15 votes)
  • Checklist for Large Buildings (Greater Than 500m2) - Queensland, Australia

    1

  • Checklist for Large Buildings (Greater Than 500m2) - Queensland, Australia, Page 2

    2

  • Checklist for Large Buildings (Greater Than 500m2) - Queensland, Australia, Page 3

    3

  • Checklist for Large Buildings (Greater Than 500m2) - Queensland, Australia, Page 4

    4

  • Checklist for Large Buildings (Greater Than 500m2) - Queensland, Australia, Page 5

    5

  • Checklist for Large Buildings (Greater Than 500m2) - Queensland, Australia, Page 6

    6

  • Checklist for Large Buildings (Greater Than 500m2) - Queensland, Australia, Page 7

    7

  • Checklist for Large Buildings (Greater Than 500m2) - Queensland, Australia, Page 8

    8

  • Checklist for Large Buildings (Greater Than 500m2) - Queensland, Australia, Page 9

    9

  • Checklist for Large Buildings (Greater Than 500m2) - Queensland, Australia, Page 10

    10

  • Checklist for Large Buildings (Greater Than 500m2) - Queensland, Australia, Page 11

    11

  • Checklist for Large Buildings (Greater Than 500m2) - Queensland, Australia, Page 12

    12

  • Checklist for Large Buildings (Greater Than 500m2) - Queensland, Australia, Page 13

    13

  • Checklist for Large Buildings (Greater Than 500m2) - Queensland, Australia, Page 14

    14

  • Checklist for Large Buildings (Greater Than 500m2) - Queensland, Australia, Page 15

    15

  • Checklist for Large Buildings (Greater Than 500m2) - Queensland, Australia, Page 16

    16

  • Checklist for Large Buildings (Greater Than 500m2) - Queensland, Australia, Page 1
  • Checklist for Large Buildings (Greater Than 500m2) - Queensland, Australia, Page 2
  • Checklist for Large Buildings (Greater Than 500m2) - Queensland, Australia, Page 3
  • Checklist for Large Buildings (Greater Than 500m2) - Queensland, Australia, Page 4
  • Checklist for Large Buildings (Greater Than 500m2) - Queensland, Australia, Page 5
  • Checklist for Large Buildings (Greater Than 500m2) - Queensland, Australia, Page 6
  • Checklist for Large Buildings (Greater Than 500m2) - Queensland, Australia, Page 7
  • Checklist for Large Buildings (Greater Than 500m2) - Queensland, Australia, Page 8
  • Checklist for Large Buildings (Greater Than 500m2) - Queensland, Australia, Page 9
  • Checklist for Large Buildings (Greater Than 500m2) - Queensland, Australia, Page 10
  • Checklist for Large Buildings (Greater Than 500m2) - Queensland, Australia, Page 11
  • Checklist for Large Buildings (Greater Than 500m2) - Queensland, Australia, Page 12
  • Checklist for Large Buildings (Greater Than 500m2) - Queensland, Australia, Page 13
  • Checklist for Large Buildings (Greater Than 500m2) - Queensland, Australia, Page 14
  • Checklist for Large Buildings (Greater Than 500m2) - Queensland, Australia, Page 15
  • Checklist for Large Buildings (Greater Than 500m2) - Queensland, Australia, Page 16
Prev 1 2 3 4 5 ... 16 Next
ADVERTISEMENT