Scientific Taking Permit Application - K-12 - Birds, Mammals, Amphibians and Reptiles - Oregon

Scientific Taking Permit Application - K-12 - Birds, Mammals, Amphibians and Reptiles - Oregon

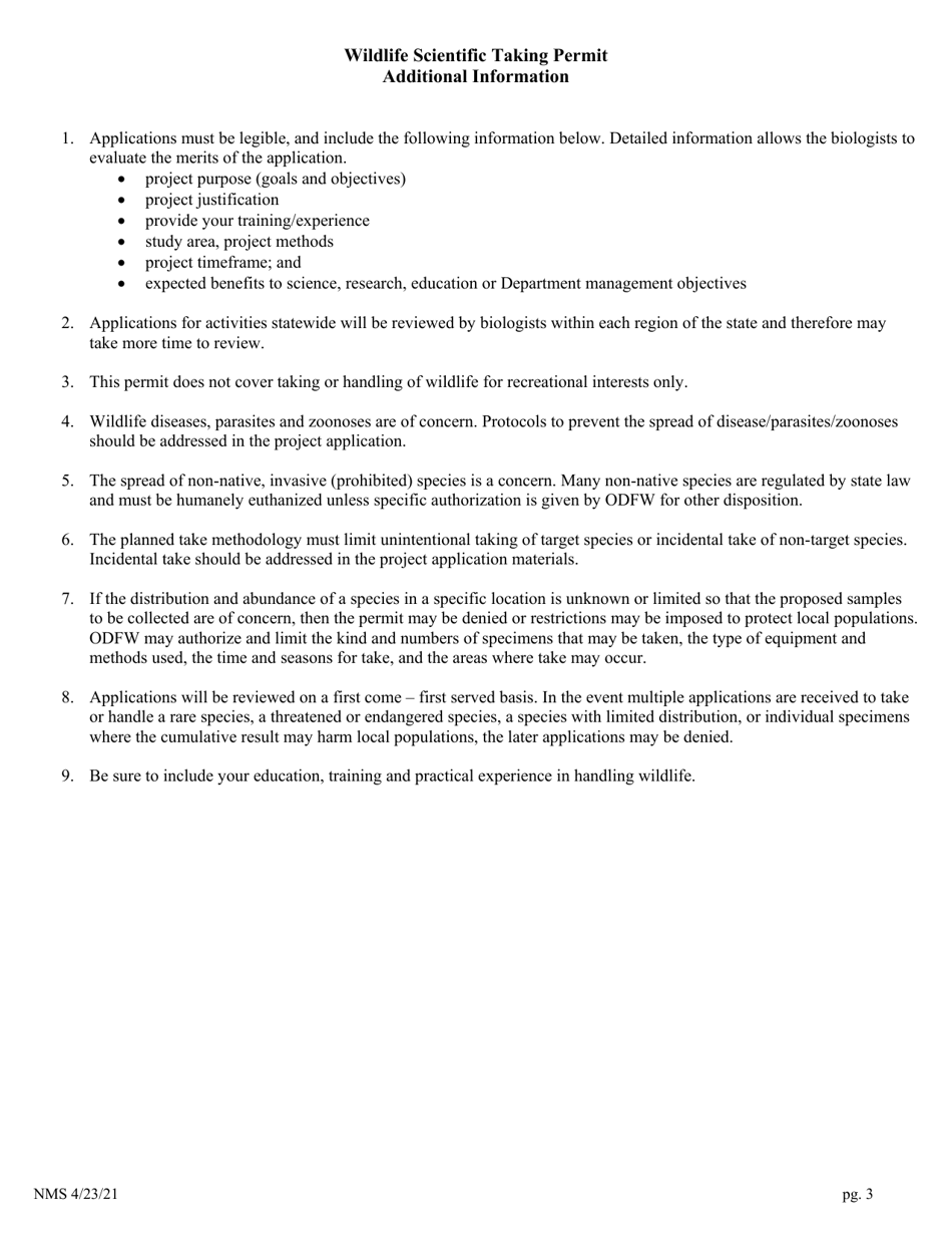
Scientific Taking Permit Application - K-12 - Birds, Mammals, Amphibians and Reptiles is a legal document that was released by the Oregon Department of Fish and Wildlife - a government authority operating within Oregon.

FAQ

Q: What is a scientific taking permit?
A: A scientific taking permit is a permit that allows individuals to collect, capture, or study birds, mammals, amphibians, and reptiles for scientific research purposes.

Q: Who needs a scientific taking permit?
A: Anyone who wants to collect, capture, or study birds, mammals, amphibians, and reptiles for scientific research purposes in Oregon needs a scientific taking permit.

Q: What does the K-12 designation mean?
A: The K-12 designation means that the scientific taking permit is specifically for students, teachers, and educational institutions from kindergarten through 12th grade.

Q: What can be studied under a scientific taking permit?
A: A scientific taking permit allows for the study of birds, mammals, amphibians, and reptiles.

Q: Do I need a separate permit for each species?
A: No, a single scientific taking permit can cover the collection, capture, or study of multiple species.

Q: How do I apply for a scientific taking permit?
A: To apply for a scientific taking permit, you will need to fill out an application form and submit it to the appropriate agency or department in Oregon.

Q: Are there any restrictions on scientific taking permits?
A: Yes, there may be restrictions on the number of individuals or specimens that can be collected, the methods used for collection, and the locations where collection is allowed.

Q: Can I sell or trade specimens collected under a scientific taking permit?
A: No, specimens collected under a scientific taking permit cannot be sold or traded.

Q: How long is a scientific taking permit valid?
A: The validity period of a scientific taking permit depends on the specific permit and its terms, but it is typically valid for a limited duration, such as one year.

ADVERTISEMENT

Form Details:

  • Released on April 23, 2021;
  • The latest edition currently provided by the Oregon Department of Fish and Wildlife;
  • Ready to use and print;
  • Easy to customize;
  • Compatible with most PDF-viewing applications;
  • Fill out the form in our online filing application.

Download a printable version of the form by clicking the link below or browse more documents and templates provided by the Oregon Department of Fish and Wildlife.

Download Scientific Taking Permit Application - K-12 - Birds, Mammals, Amphibians and Reptiles - Oregon

4.7 of 5 (11 votes)
  • Scientific Taking Permit Application - K-12 - Birds, Mammals, Amphibians and Reptiles - Oregon

    1

  • Scientific Taking Permit Application - K-12 - Birds, Mammals, Amphibians and Reptiles - Oregon, Page 2

    2

  • Scientific Taking Permit Application - K-12 - Birds, Mammals, Amphibians and Reptiles - Oregon, Page 3

    3

  • Scientific Taking Permit Application - K-12 - Birds, Mammals, Amphibians and Reptiles - Oregon, Page 1
  • Scientific Taking Permit Application - K-12 - Birds, Mammals, Amphibians and Reptiles - Oregon, Page 2
  • Scientific Taking Permit Application - K-12 - Birds, Mammals, Amphibians and Reptiles - Oregon, Page 3
Prev 1 2 3 Next
ADVERTISEMENT