SEC Form 2846 (N-CEN) Annual Report for Registered Investment Companies

Notification Icon This version of the form is not currently in use and is provided for reference only. Download this version of SEC Form 2846 (N-CEN) for the current year.

SEC Form 2846 (N-CEN) Annual Report for Registered Investment Companies

What Is SEC Form 2846 (N-CEN)?

This is a legal form that was released by the U.S. Securities and Exchange Commission on September 1, 2021 and used country-wide. As of today, no separate filing guidelines for the form are provided by the issuing department.

FAQ

Q: What is SEC Form 2846?
A: SEC Form 2846 is the Annual Report for Registered Investment Companies.

Q: Who needs to file SEC Form 2846?
A: Registered Investment Companies are required to file SEC Form 2846.

Q: What is the purpose of SEC Form 2846?
A: SEC Form 2846 is used to provide an annual update on the financial and operational information of Registered Investment Companies.

Q: When is SEC Form 2846 due?
A: SEC Form 2846 is due within 75 days after the end of the fiscal year for Registered Investment Companies.

ADVERTISEMENT

Form Details:

  • Released on September 1, 2021;
  • The latest available edition released by the U.S. Securities and Exchange Commission;
  • Easy to use and ready to print;
  • Yours to fill out and keep for your records;
  • Compatible with most PDF-viewing applications;
  • Fill out the form in our online filing application.

Download a printable version of SEC Form 2846 (N-CEN) by clicking the link below or browse more documents and templates provided by the U.S. Securities and Exchange Commission.

Download SEC Form 2846 (N-CEN) Annual Report for Registered Investment Companies

4.6 of 5 (22 votes)
  • SEC Form 2846 (N-CEN) Annual Report for Registered Investment Companies

    1

  • SEC Form 2846 (N-CEN) Annual Report for Registered Investment Companies, Page 2

    2

  • SEC Form 2846 (N-CEN) Annual Report for Registered Investment Companies, Page 3

    3

  • SEC Form 2846 (N-CEN) Annual Report for Registered Investment Companies, Page 4

    4

  • SEC Form 2846 (N-CEN) Annual Report for Registered Investment Companies, Page 5

    5

  • SEC Form 2846 (N-CEN) Annual Report for Registered Investment Companies, Page 6

    6

  • SEC Form 2846 (N-CEN) Annual Report for Registered Investment Companies, Page 7

    7

  • SEC Form 2846 (N-CEN) Annual Report for Registered Investment Companies, Page 8

    8

  • SEC Form 2846 (N-CEN) Annual Report for Registered Investment Companies, Page 9

    9

  • SEC Form 2846 (N-CEN) Annual Report for Registered Investment Companies, Page 10

    10

  • SEC Form 2846 (N-CEN) Annual Report for Registered Investment Companies, Page 11

    11

  • SEC Form 2846 (N-CEN) Annual Report for Registered Investment Companies, Page 12

    12

  • SEC Form 2846 (N-CEN) Annual Report for Registered Investment Companies, Page 13

    13

  • SEC Form 2846 (N-CEN) Annual Report for Registered Investment Companies, Page 14

    14

  • SEC Form 2846 (N-CEN) Annual Report for Registered Investment Companies, Page 15

    15

  • SEC Form 2846 (N-CEN) Annual Report for Registered Investment Companies, Page 16

    16

  • SEC Form 2846 (N-CEN) Annual Report for Registered Investment Companies, Page 17

    17

  • SEC Form 2846 (N-CEN) Annual Report for Registered Investment Companies, Page 18

    18

  • SEC Form 2846 (N-CEN) Annual Report for Registered Investment Companies, Page 19

    19

  • SEC Form 2846 (N-CEN) Annual Report for Registered Investment Companies, Page 20

    20

  • SEC Form 2846 (N-CEN) Annual Report for Registered Investment Companies, Page 21

    21

  • SEC Form 2846 (N-CEN) Annual Report for Registered Investment Companies, Page 22

    22

  • SEC Form 2846 (N-CEN) Annual Report for Registered Investment Companies, Page 23

    23

  • SEC Form 2846 (N-CEN) Annual Report for Registered Investment Companies, Page 24

    24

  • SEC Form 2846 (N-CEN) Annual Report for Registered Investment Companies, Page 25

    25

  • SEC Form 2846 (N-CEN) Annual Report for Registered Investment Companies, Page 26

    26

  • SEC Form 2846 (N-CEN) Annual Report for Registered Investment Companies, Page 27

    27

  • SEC Form 2846 (N-CEN) Annual Report for Registered Investment Companies, Page 28

    28

  • SEC Form 2846 (N-CEN) Annual Report for Registered Investment Companies, Page 29

    29

  • SEC Form 2846 (N-CEN) Annual Report for Registered Investment Companies, Page 30

    30

  • SEC Form 2846 (N-CEN) Annual Report for Registered Investment Companies, Page 31

    31

  • SEC Form 2846 (N-CEN) Annual Report for Registered Investment Companies, Page 32

    32

  • SEC Form 2846 (N-CEN) Annual Report for Registered Investment Companies, Page 33

    33

  • SEC Form 2846 (N-CEN) Annual Report for Registered Investment Companies, Page 34

    34

  • SEC Form 2846 (N-CEN) Annual Report for Registered Investment Companies, Page 35

    35

  • SEC Form 2846 (N-CEN) Annual Report for Registered Investment Companies, Page 36

    36

  • SEC Form 2846 (N-CEN) Annual Report for Registered Investment Companies, Page 37

    37

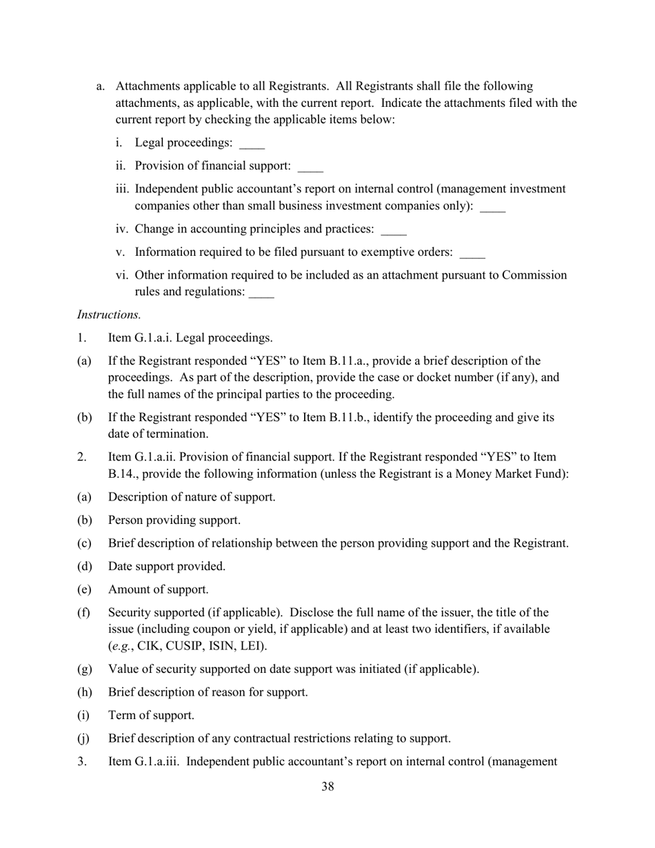
  • SEC Form 2846 (N-CEN) Annual Report for Registered Investment Companies, Page 38

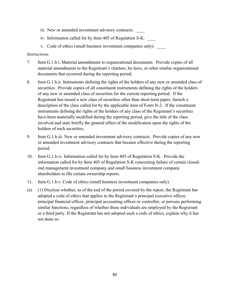
    38

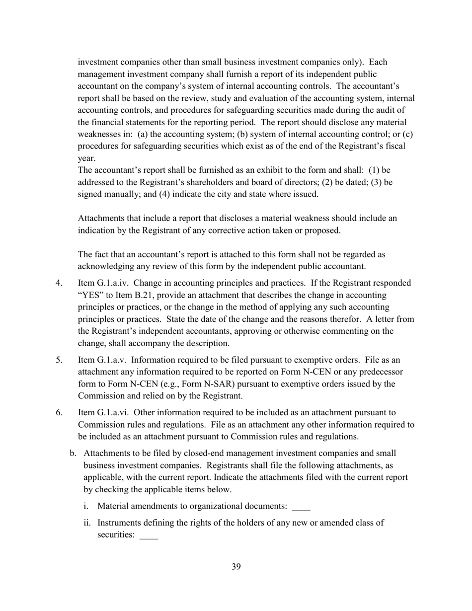
  • SEC Form 2846 (N-CEN) Annual Report for Registered Investment Companies, Page 39

    39

  • SEC Form 2846 (N-CEN) Annual Report for Registered Investment Companies, Page 40

    40

  • SEC Form 2846 (N-CEN) Annual Report for Registered Investment Companies, Page 41

    41

  • SEC Form 2846 (N-CEN) Annual Report for Registered Investment Companies, Page 42

    42

  • SEC Form 2846 (N-CEN) Annual Report for Registered Investment Companies, Page 43

    43

  • SEC Form 2846 (N-CEN) Annual Report for Registered Investment Companies, Page 44

    44

  • SEC Form 2846 (N-CEN) Annual Report for Registered Investment Companies, Page 45

    45

  • SEC Form 2846 (N-CEN) Annual Report for Registered Investment Companies, Page 46

    46

  • SEC Form 2846 (N-CEN) Annual Report for Registered Investment Companies, Page 1
  • SEC Form 2846 (N-CEN) Annual Report for Registered Investment Companies, Page 2
  • SEC Form 2846 (N-CEN) Annual Report for Registered Investment Companies, Page 3
  • SEC Form 2846 (N-CEN) Annual Report for Registered Investment Companies, Page 4
  • SEC Form 2846 (N-CEN) Annual Report for Registered Investment Companies, Page 5
  • SEC Form 2846 (N-CEN) Annual Report for Registered Investment Companies, Page 6
  • SEC Form 2846 (N-CEN) Annual Report for Registered Investment Companies, Page 7
  • SEC Form 2846 (N-CEN) Annual Report for Registered Investment Companies, Page 8
  • SEC Form 2846 (N-CEN) Annual Report for Registered Investment Companies, Page 9
  • SEC Form 2846 (N-CEN) Annual Report for Registered Investment Companies, Page 10
  • SEC Form 2846 (N-CEN) Annual Report for Registered Investment Companies, Page 11
  • SEC Form 2846 (N-CEN) Annual Report for Registered Investment Companies, Page 12
  • SEC Form 2846 (N-CEN) Annual Report for Registered Investment Companies, Page 13
  • SEC Form 2846 (N-CEN) Annual Report for Registered Investment Companies, Page 14
  • SEC Form 2846 (N-CEN) Annual Report for Registered Investment Companies, Page 15
  • SEC Form 2846 (N-CEN) Annual Report for Registered Investment Companies, Page 16
  • SEC Form 2846 (N-CEN) Annual Report for Registered Investment Companies, Page 17
  • SEC Form 2846 (N-CEN) Annual Report for Registered Investment Companies, Page 18
  • SEC Form 2846 (N-CEN) Annual Report for Registered Investment Companies, Page 19
  • SEC Form 2846 (N-CEN) Annual Report for Registered Investment Companies, Page 20
  • SEC Form 2846 (N-CEN) Annual Report for Registered Investment Companies, Page 21
  • SEC Form 2846 (N-CEN) Annual Report for Registered Investment Companies, Page 22
  • SEC Form 2846 (N-CEN) Annual Report for Registered Investment Companies, Page 23
  • SEC Form 2846 (N-CEN) Annual Report for Registered Investment Companies, Page 24
  • SEC Form 2846 (N-CEN) Annual Report for Registered Investment Companies, Page 25
  • SEC Form 2846 (N-CEN) Annual Report for Registered Investment Companies, Page 26
  • SEC Form 2846 (N-CEN) Annual Report for Registered Investment Companies, Page 27
  • SEC Form 2846 (N-CEN) Annual Report for Registered Investment Companies, Page 28
  • SEC Form 2846 (N-CEN) Annual Report for Registered Investment Companies, Page 29
  • SEC Form 2846 (N-CEN) Annual Report for Registered Investment Companies, Page 30
  • SEC Form 2846 (N-CEN) Annual Report for Registered Investment Companies, Page 31
  • SEC Form 2846 (N-CEN) Annual Report for Registered Investment Companies, Page 32
  • SEC Form 2846 (N-CEN) Annual Report for Registered Investment Companies, Page 33
  • SEC Form 2846 (N-CEN) Annual Report for Registered Investment Companies, Page 34
  • SEC Form 2846 (N-CEN) Annual Report for Registered Investment Companies, Page 35
  • SEC Form 2846 (N-CEN) Annual Report for Registered Investment Companies, Page 36
  • SEC Form 2846 (N-CEN) Annual Report for Registered Investment Companies, Page 37
  • SEC Form 2846 (N-CEN) Annual Report for Registered Investment Companies, Page 38
  • SEC Form 2846 (N-CEN) Annual Report for Registered Investment Companies, Page 39
  • SEC Form 2846 (N-CEN) Annual Report for Registered Investment Companies, Page 40
  • SEC Form 2846 (N-CEN) Annual Report for Registered Investment Companies, Page 41
  • SEC Form 2846 (N-CEN) Annual Report for Registered Investment Companies, Page 42
  • SEC Form 2846 (N-CEN) Annual Report for Registered Investment Companies, Page 43
  • SEC Form 2846 (N-CEN) Annual Report for Registered Investment Companies, Page 44
  • SEC Form 2846 (N-CEN) Annual Report for Registered Investment Companies, Page 45
  • SEC Form 2846 (N-CEN) Annual Report for Registered Investment Companies, Page 46
Prev 1 2 3 4 5 ... 46 Next
ADVERTISEMENT

Related Documents