DNR Form 542-1336 Underground Storage Tank System Checklist for Equipment Compatibility With Biofuels (Greater Than 10% Ethanol or 20% Biodiesel by Volume) - Iowa

Notification Icon This version of the form is not currently in use and is provided for reference only. Download this version of DNR Form 542-1336 for the current year.

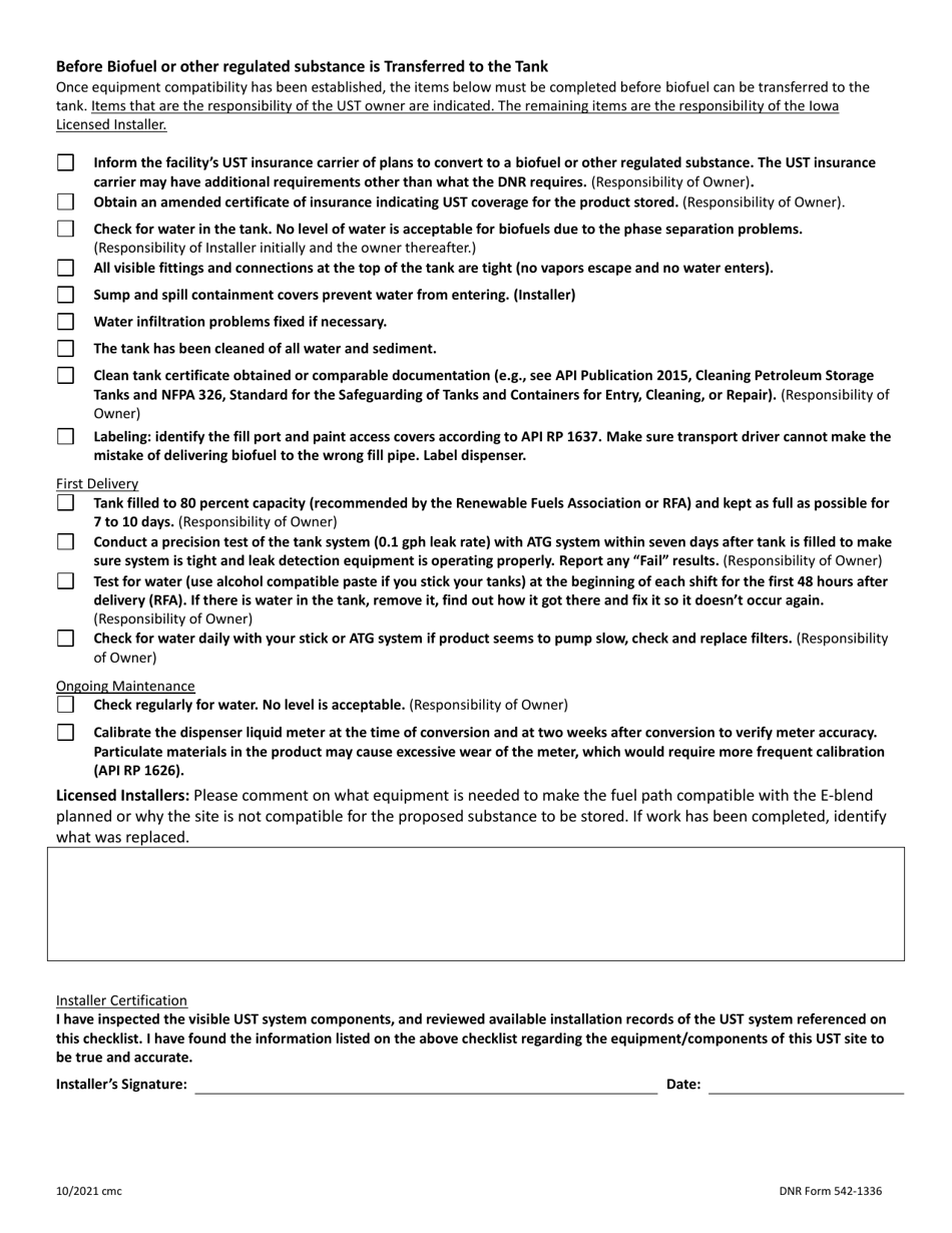
DNR Form 542-1336 Underground Storage Tank System Checklist for Equipment Compatibility With Biofuels (Greater Than 10% Ethanol or 20% Biodiesel by Volume) - Iowa

What Is DNR Form 542-1336?

This is a legal form that was released by the Iowa Department of Natural Resources - a government authority operating within Iowa. As of today, no separate filing guidelines for the form are provided by the issuing department.

FAQ

Q: What is DNR Form 542-1336?
A: DNR Form 542-1336 is a Checklist for Underground Storage Tank System Equipment Compatibility With Biofuels in Iowa.

Q: What does this checklist determine?
A: This checklist determines if the storage tank system equipment is compatible with biofuels containing greater than 10% ethanol or 20% biodiesel by volume.

Q: Who is required to fill out this checklist?
A: Owners or operators of underground storage tank systems in Iowa are required to fill out this checklist.

Q: What types of biofuels does this checklist cover?
A: This checklist covers biofuels containing greater than 10% ethanol or 20% biodiesel by volume.

Q: Why is equipment compatibility important?
A: Equipment compatibility is important to prevent potential leaks, spills, or other hazardous situations that may arise from using biofuels in incompatible storage tank systems.

Q: What should I do if my equipment is not compatible?
A: If your equipment is not compatible, you may need to upgrade or replace it to ensure safe storage of biofuels.

Q: Is this checklist only applicable for Iowa?
A: Yes, this checklist is specifically for underground storage tank systems in Iowa.

Q: What is the purpose of using biofuels in storage tank systems?
A: The use of biofuels helps reduce dependence on fossil fuels and contributes to environmental sustainability.

ADVERTISEMENT

Form Details:

  • Released on October 1, 2021;
  • The latest edition provided by the Iowa Department of Natural Resources;
  • Easy to use and ready to print;
  • Quick to customize;
  • Compatible with most PDF-viewing applications;
  • Fill out the form in our online filing application.

Download a fillable version of DNR Form 542-1336 by clicking the link below or browse more documents and templates provided by the Iowa Department of Natural Resources.

Download DNR Form 542-1336 Underground Storage Tank System Checklist for Equipment Compatibility With Biofuels (Greater Than 10% Ethanol or 20% Biodiesel by Volume) - Iowa

4.3 of 5 (16 votes)
  • DNR Form 542-1336 Underground Storage Tank System Checklist for Equipment Compatibility With Biofuels (Greater Than 10% Ethanol or 20% Biodiesel by Volume) - Iowa

    1

  • DNR Form 542-1336 Underground Storage Tank System Checklist for Equipment Compatibility With Biofuels (Greater Than 10% Ethanol or 20% Biodiesel by Volume) - Iowa, Page 2

    2

  • DNR Form 542-1336 Underground Storage Tank System Checklist for Equipment Compatibility With Biofuels (Greater Than 10% Ethanol or 20% Biodiesel by Volume) - Iowa, Page 3

    3

  • DNR Form 542-1336 Underground Storage Tank System Checklist for Equipment Compatibility With Biofuels (Greater Than 10% Ethanol or 20% Biodiesel by Volume) - Iowa, Page 1
  • DNR Form 542-1336 Underground Storage Tank System Checklist for Equipment Compatibility With Biofuels (Greater Than 10% Ethanol or 20% Biodiesel by Volume) - Iowa, Page 2
  • DNR Form 542-1336 Underground Storage Tank System Checklist for Equipment Compatibility With Biofuels (Greater Than 10% Ethanol or 20% Biodiesel by Volume) - Iowa, Page 3
Prev 1 2 3 Next
ADVERTISEMENT