Attachment C Standard Questions for Submarine Cable Landing License Application

Attachment C Standard Questions for Submarine Cable Landing License Application

What Is Attachment C?

This is a legal form that was released by the Federal Communications Commission and used country-wide. As of today, no separate filing guidelines for the form are provided by the issuing department.

FAQ

Q: What is a submarine cable landing license?
A: A submarine cable landing license is a permit that allows the installation and operation of a submarine cable landing station in a specific location.

Q: Who issues submarine cable landing licenses?
A: In the United States, submarine cable landing licenses are issued by the Federal Communications Commission (FCC).

Q: What is a submarine cable landing station?
A: A submarine cable landing station is a facility where submarine cables are connected to land-based telecommunication networks.

Q: Why is a submarine cable landing license required?
A: A submarine cable landing license is required to ensure proper regulation and oversight of international submarine cable systems to protect national security, public safety, and the environment.

Q: What is the application process for a submarine cable landing license?
A: The application process for a submarine cable landing license involves submitting an application to the FCC, providing detailed information about the cable system, its route, landing points, and operational plans.

Q: What factors are considered when reviewing a submarine cable landing license application?
A: When reviewing a submarine cable landing license application, factors such as national security, environmental impact, technical feasibility, and compliance with regulations are considered.

Q: How long does it take to obtain a submarine cable landing license?
A: The time it takes to obtain a submarine cable landing license can vary, but the FCC aims to process applications within 120 days of receiving a complete application.

Q: Are there any fees associated with a submarine cable landing license?
A: Yes, there are fees associated with obtaining a submarine cable landing license. The exact fees depend on various factors, such as the length of the cable and the number of landing points.

Q: Can a submarine cable landing license be transferred or assigned to another party?
A: Yes, a submarine cable landing license can be transferred or assigned to another party, but prior approval from the FCC is required.

Q: What happens if a submarine cable landing license is not obtained?
A: If a submarine cable landing license is not obtained, the installation and operation of a submarine cable landing station would be considered illegal and subject to penalties.

ADVERTISEMENT

Form Details:

  • The latest available edition released by the Federal Communications Commission;
  • Easy to use and ready to print;
  • Yours to fill out and keep for your records;
  • Compatible with most PDF-viewing applications;
  • Fill out the form in our online filing application.

Download a printable version of Attachment C by clicking the link below or browse more documents and templates provided by the Federal Communications Commission.

Download Attachment C Standard Questions for Submarine Cable Landing License Application

4.4 of 5 (26 votes)
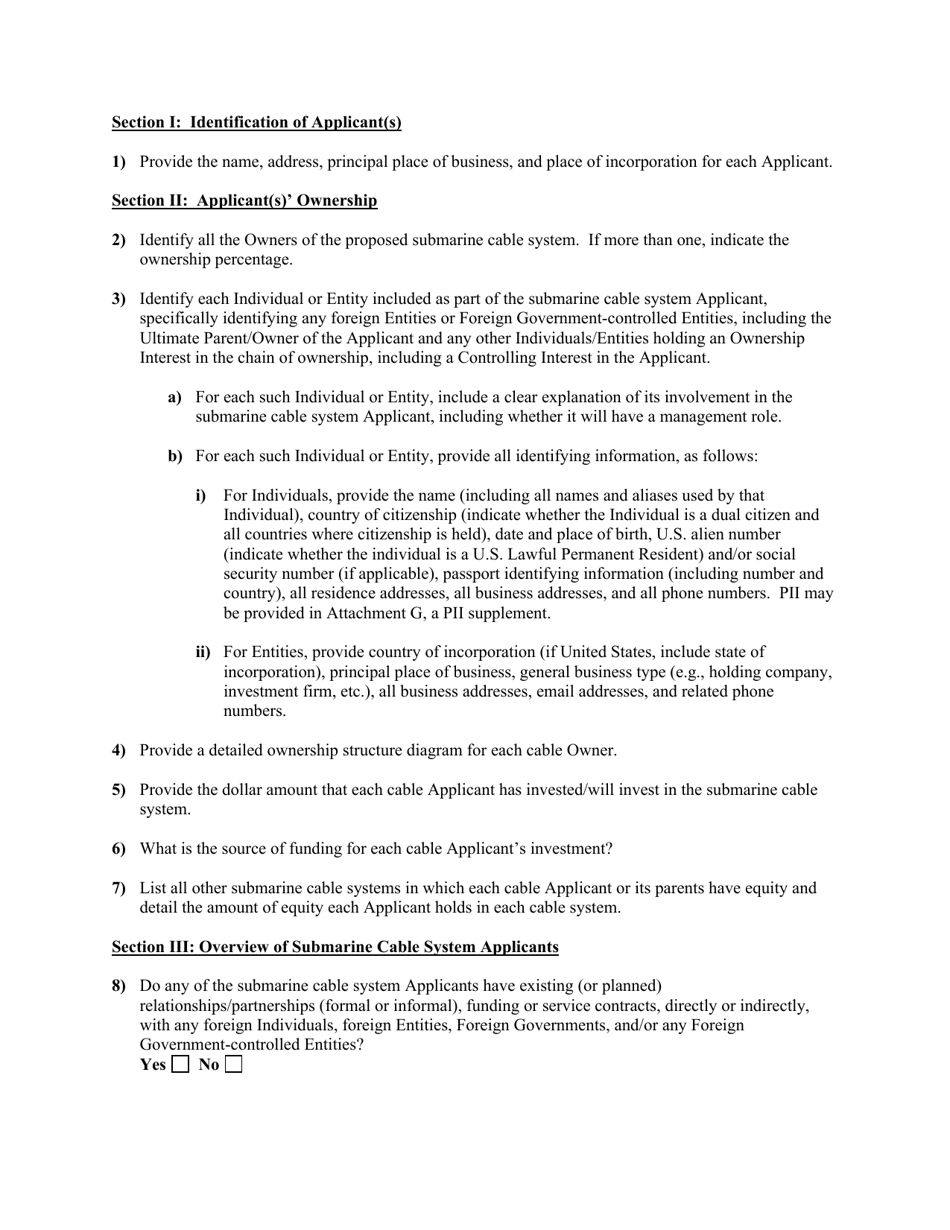
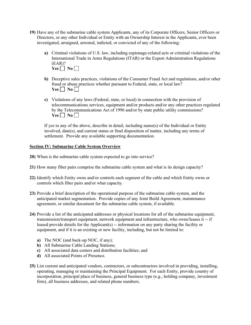
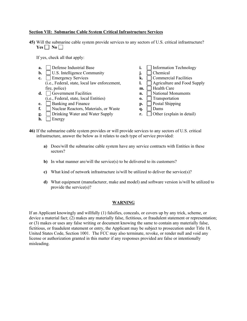
  • Attachment C Standard Questions for Submarine Cable Landing License Application

    1

  • Attachment C Standard Questions for Submarine Cable Landing License Application, Page 2

    2

  • Attachment C Standard Questions for Submarine Cable Landing License Application, Page 3

    3

  • Attachment C Standard Questions for Submarine Cable Landing License Application, Page 4

    4

  • Attachment C Standard Questions for Submarine Cable Landing License Application, Page 5

    5

  • Attachment C Standard Questions for Submarine Cable Landing License Application, Page 6

    6

  • Attachment C Standard Questions for Submarine Cable Landing License Application, Page 7

    7

  • Attachment C Standard Questions for Submarine Cable Landing License Application, Page 8

    8

  • Attachment C Standard Questions for Submarine Cable Landing License Application, Page 9

    9

  • Attachment C Standard Questions for Submarine Cable Landing License Application, Page 10

    10

  • Attachment C Standard Questions for Submarine Cable Landing License Application, Page 11

    11

  • Attachment C Standard Questions for Submarine Cable Landing License Application, Page 12

    12

  • Attachment C Standard Questions for Submarine Cable Landing License Application, Page 13

    13

  • Attachment C Standard Questions for Submarine Cable Landing License Application, Page 1
  • Attachment C Standard Questions for Submarine Cable Landing License Application, Page 2
  • Attachment C Standard Questions for Submarine Cable Landing License Application, Page 3
  • Attachment C Standard Questions for Submarine Cable Landing License Application, Page 4
  • Attachment C Standard Questions for Submarine Cable Landing License Application, Page 5
  • Attachment C Standard Questions for Submarine Cable Landing License Application, Page 6
  • Attachment C Standard Questions for Submarine Cable Landing License Application, Page 7
  • Attachment C Standard Questions for Submarine Cable Landing License Application, Page 8
  • Attachment C Standard Questions for Submarine Cable Landing License Application, Page 9
  • Attachment C Standard Questions for Submarine Cable Landing License Application, Page 10
  • Attachment C Standard Questions for Submarine Cable Landing License Application, Page 11
  • Attachment C Standard Questions for Submarine Cable Landing License Application, Page 12
  • Attachment C Standard Questions for Submarine Cable Landing License Application, Page 13
Prev 1 2 3 4 5 ... 13 Next
ADVERTISEMENT