Form 05-22-023 Test Security Agreement Level 5 - Alaska

Form 05-22-023 Test Security Agreement Level 5 - Alaska

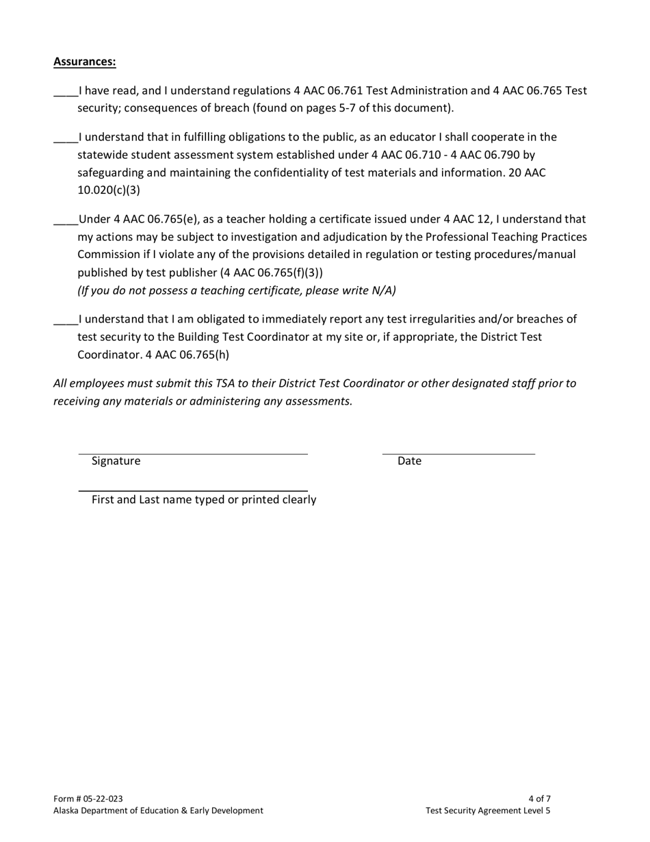
What Is Form 05-22-023?

This is a legal form that was released by the Alaska Department of Education and Early Development - a government authority operating within Alaska. As of today, no separate filing guidelines for the form are provided by the issuing department.

FAQ

Q: What is Form 05-22-023?
A: Form 05-22-023 is a Test Security Agreement Level 5 for Alaska.

Q: What is the purpose of Form 05-22-023?
A: The purpose of Form 05-22-023 is to ensure the security and integrity of tests in Alaska.

Q: Who needs to fill out Form 05-22-023?
A: Educators and administrators involved in test administration in Alaska need to fill out Form 05-22-023.

Q: What level of test security does Form 05-22-023 cover?
A: Form 05-22-023 covers Level 5 test security in Alaska.

ADVERTISEMENT

Form Details:

  • The latest edition provided by the Alaska Department of Education and Early Development;
  • Easy to use and ready to print;
  • Quick to customize;
  • Compatible with most PDF-viewing applications;
  • Fill out the form in our online filing application.

Download a fillable version of Form 05-22-023 by clicking the link below or browse more documents and templates provided by the Alaska Department of Education and Early Development.

Download Form 05-22-023 Test Security Agreement Level 5 - Alaska

4.7 of 5 (22 votes)
  • Form 05-22-023 Test Security Agreement Level 5 - Alaska

    1

  • Form 05-22-023 Test Security Agreement Level 5 - Alaska, Page 2

    2

  • Form 05-22-023 Test Security Agreement Level 5 - Alaska, Page 3

    3

  • Form 05-22-023 Test Security Agreement Level 5 - Alaska, Page 4

    4

  • Form 05-22-023 Test Security Agreement Level 5 - Alaska, Page 5

    5

  • Form 05-22-023 Test Security Agreement Level 5 - Alaska, Page 6

    6

  • Form 05-22-023 Test Security Agreement Level 5 - Alaska, Page 7

    7

  • Form 05-22-023 Test Security Agreement Level 5 - Alaska, Page 1
  • Form 05-22-023 Test Security Agreement Level 5 - Alaska, Page 2
  • Form 05-22-023 Test Security Agreement Level 5 - Alaska, Page 3
  • Form 05-22-023 Test Security Agreement Level 5 - Alaska, Page 4
  • Form 05-22-023 Test Security Agreement Level 5 - Alaska, Page 5
  • Form 05-22-023 Test Security Agreement Level 5 - Alaska, Page 6
  • Form 05-22-023 Test Security Agreement Level 5 - Alaska, Page 7
Prev 1 2 3 4 5 ... 7 Next
ADVERTISEMENT