Form 05-22-022 Test Security Agreement Level 4 - Alaska

Form 05-22-022 Test Security Agreement Level 4 - Alaska

What Is Form 05-22-022?

This is a legal form that was released by the Alaska Department of Education and Early Development - a government authority operating within Alaska. As of today, no separate filing guidelines for the form are provided by the issuing department.

FAQ

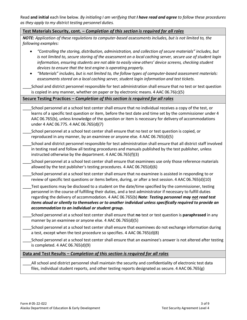
Q: What is Form 05-22-022?
A: Form 05-22-022 is the Test Security Agreement Level 4 for Alaska.

Q: What is the purpose of Form 05-22-022?
A: The purpose of Form 05-22-022 is to ensure test security during exams.

Q: Who is required to complete Form 05-22-022?
A: Anyone administering or proctoring exams in Alaska may be required to complete Form 05-22-022.

Q: What is the level of security for Form 05-22-022?
A: Form 05-22-022 is categorized as a Level 4 test security agreement.

ADVERTISEMENT

Form Details:

  • The latest edition provided by the Alaska Department of Education and Early Development;
  • Easy to use and ready to print;
  • Quick to customize;
  • Compatible with most PDF-viewing applications;
  • Fill out the form in our online filing application.

Download a fillable version of Form 05-22-022 by clicking the link below or browse more documents and templates provided by the Alaska Department of Education and Early Development.

Download Form 05-22-022 Test Security Agreement Level 4 - Alaska

4.5 of 5 (10 votes)
  • Form 05-22-022 Test Security Agreement Level 4 - Alaska

    1

  • Form 05-22-022 Test Security Agreement Level 4 - Alaska, Page 2

    2

  • Form 05-22-022 Test Security Agreement Level 4 - Alaska, Page 3

    3

  • Form 05-22-022 Test Security Agreement Level 4 - Alaska, Page 4

    4

  • Form 05-22-022 Test Security Agreement Level 4 - Alaska, Page 5

    5

  • Form 05-22-022 Test Security Agreement Level 4 - Alaska, Page 6

    6

  • Form 05-22-022 Test Security Agreement Level 4 - Alaska, Page 7

    7

  • Form 05-22-022 Test Security Agreement Level 4 - Alaska, Page 8

    8

  • Form 05-22-022 Test Security Agreement Level 4 - Alaska, Page 9

    9

  • Form 05-22-022 Test Security Agreement Level 4 - Alaska, Page 1
  • Form 05-22-022 Test Security Agreement Level 4 - Alaska, Page 2
  • Form 05-22-022 Test Security Agreement Level 4 - Alaska, Page 3
  • Form 05-22-022 Test Security Agreement Level 4 - Alaska, Page 4
  • Form 05-22-022 Test Security Agreement Level 4 - Alaska, Page 5
  • Form 05-22-022 Test Security Agreement Level 4 - Alaska, Page 6
  • Form 05-22-022 Test Security Agreement Level 4 - Alaska, Page 7
  • Form 05-22-022 Test Security Agreement Level 4 - Alaska, Page 8
  • Form 05-22-022 Test Security Agreement Level 4 - Alaska, Page 9
Prev 1 2 3 4 5 ... 9 Next
ADVERTISEMENT