DEP Form 62-640.210(2)(D) Biosolids Site Permit Application - Florida

DEP Form 62-640.210(2)(D) Biosolids Site Permit Application - Florida

What Is DEP Form 62-640.210(2)(D)?

This is a legal form that was released by the Florida Department of Environmental Protection - a government authority operating within Florida. As of today, no separate filing guidelines for the form are provided by the issuing department.

FAQ

Q: What is DEP Form 62-640.210(2)(D)?
A: DEP Form 62-640.210(2)(D) is an application form for a biosolids site permit in Florida.

Q: What is the purpose of DEP Form 62-640.210(2)(D)?
A: The purpose of DEP Form 62-640.210(2)(D) is to apply for a biosolids site permit in Florida.

Q: What is a biosolids site permit?
A: A biosolids site permit is a permit required in Florida for the land application of biosolids, which are treated sewage sludge.

Q: What is the DEP?
A: The DEP stands for the Florida Department of Environmental Protection.

Q: Who needs to fill out DEP Form 62-640.210(2)(D)?
A: Anyone who wishes to obtain a biosolids site permit in Florida needs to fill out DEP Form 62-640.210(2)(D).

Q: Are there any fees associated with DEP Form 62-640.210(2)(D)?
A: Yes, there are fees associated with DEP Form 62-640.210(2)(D). The specific fees can be found in the instructions of the form.

Q: Can the permit be denied?
A: Yes, the permit can be denied if the application does not meet all the necessary requirements.

Q: What are biosolids?
A: Biosolids are treated sewage sludge that can be used as a fertilizer or soil amendment.

ADVERTISEMENT

Form Details:

  • Released on June 21, 2021;
  • The latest edition provided by the Florida Department of Environmental Protection;
  • Easy to use and ready to print;
  • Quick to customize;
  • Compatible with most PDF-viewing applications;
  • Fill out the form in our online filing application.

Download a fillable version of DEP Form 62-640.210(2)(D) by clicking the link below or browse more documents and templates provided by the Florida Department of Environmental Protection.

Download DEP Form 62-640.210(2)(D) Biosolids Site Permit Application - Florida

4.4 of 5 (18 votes)
  • DEP Form 62-640.210(2)(D) Biosolids Site Permit Application - Florida

    1

  • DEP Form 62-640.210(2)(D) Biosolids Site Permit Application - Florida, Page 2

    2

  • DEP Form 62-640.210(2)(D) Biosolids Site Permit Application - Florida, Page 3

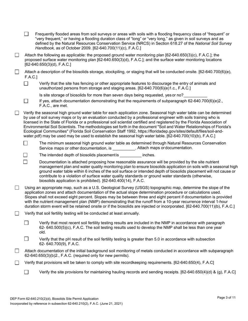
    3

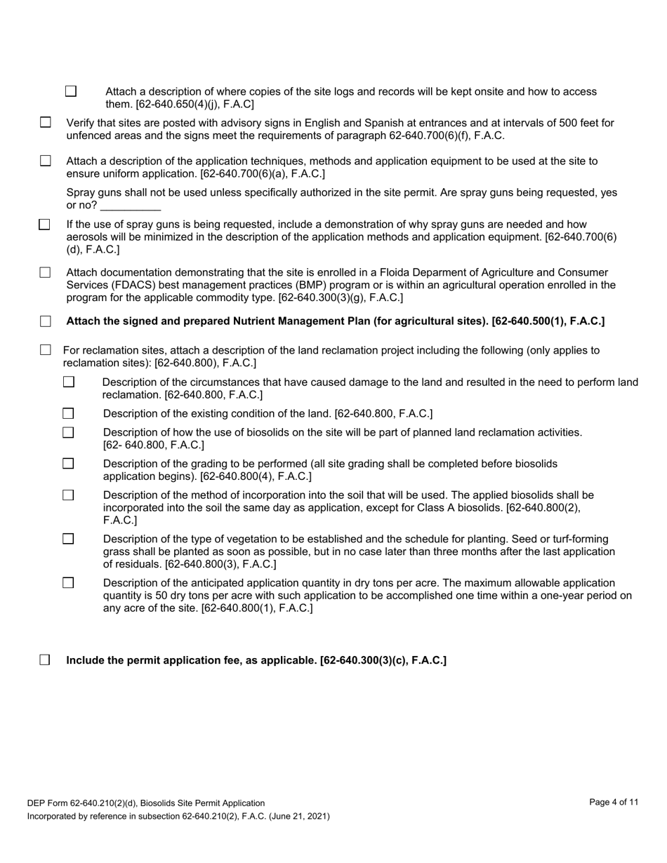
  • DEP Form 62-640.210(2)(D) Biosolids Site Permit Application - Florida, Page 4

    4

  • DEP Form 62-640.210(2)(D) Biosolids Site Permit Application - Florida, Page 5

    5

  • DEP Form 62-640.210(2)(D) Biosolids Site Permit Application - Florida, Page 6

    6

  • DEP Form 62-640.210(2)(D) Biosolids Site Permit Application - Florida, Page 7

    7

  • DEP Form 62-640.210(2)(D) Biosolids Site Permit Application - Florida, Page 8

    8

  • DEP Form 62-640.210(2)(D) Biosolids Site Permit Application - Florida, Page 9

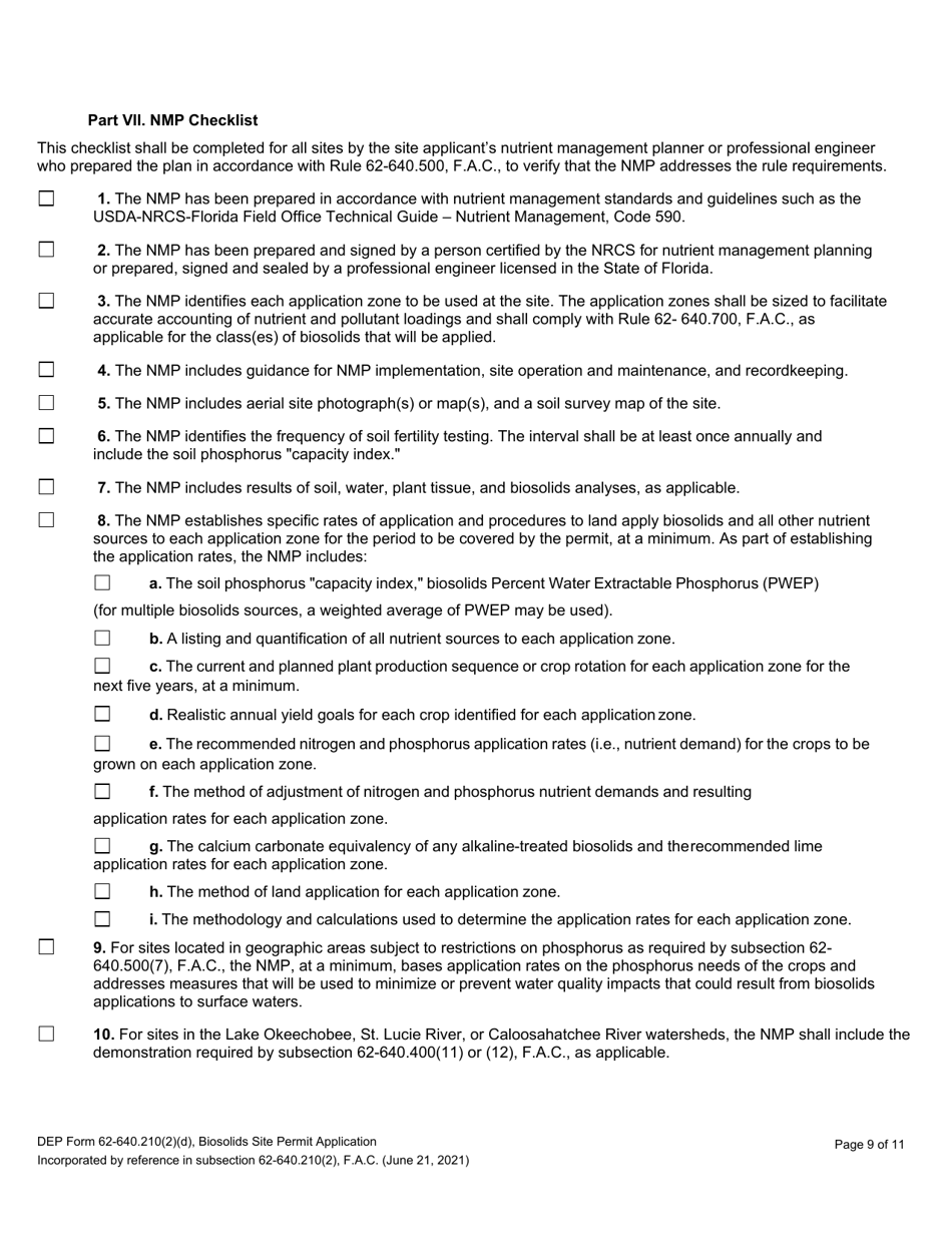
    9

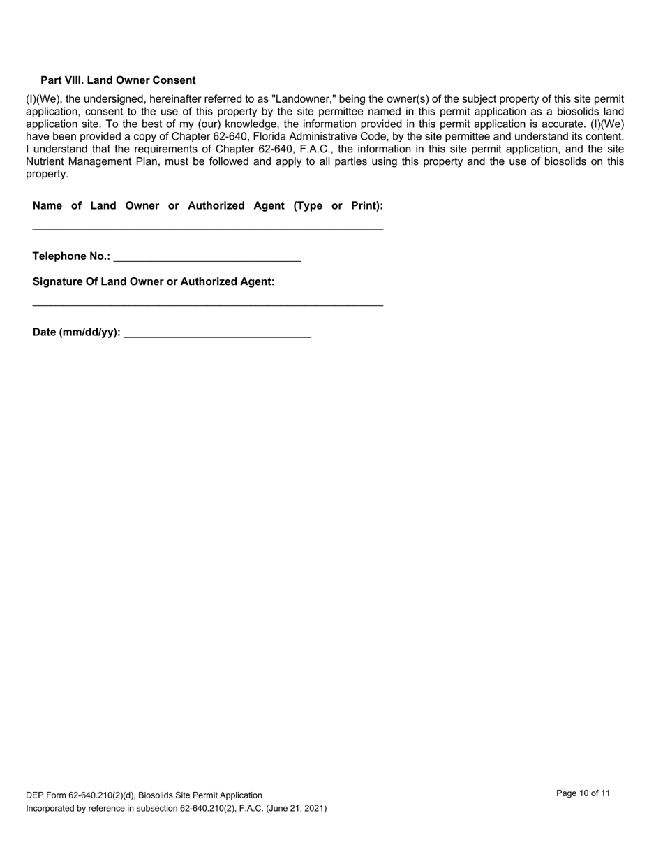
  • DEP Form 62-640.210(2)(D) Biosolids Site Permit Application - Florida, Page 10

    10

  • DEP Form 62-640.210(2)(D) Biosolids Site Permit Application - Florida, Page 11

    11

  • DEP Form 62-640.210(2)(D) Biosolids Site Permit Application - Florida, Page 1
  • DEP Form 62-640.210(2)(D) Biosolids Site Permit Application - Florida, Page 2
  • DEP Form 62-640.210(2)(D) Biosolids Site Permit Application - Florida, Page 3
  • DEP Form 62-640.210(2)(D) Biosolids Site Permit Application - Florida, Page 4
  • DEP Form 62-640.210(2)(D) Biosolids Site Permit Application - Florida, Page 5
  • DEP Form 62-640.210(2)(D) Biosolids Site Permit Application - Florida, Page 6
  • DEP Form 62-640.210(2)(D) Biosolids Site Permit Application - Florida, Page 7
  • DEP Form 62-640.210(2)(D) Biosolids Site Permit Application - Florida, Page 8
  • DEP Form 62-640.210(2)(D) Biosolids Site Permit Application - Florida, Page 9
  • DEP Form 62-640.210(2)(D) Biosolids Site Permit Application - Florida, Page 10
  • DEP Form 62-640.210(2)(D) Biosolids Site Permit Application - Florida, Page 11
Prev 1 2 3 4 5 ... 11 Next
ADVERTISEMENT

Related Documents