DEP Form 62-730.900(4)(P) Hazardous Waste Facility Surety Bond to Demonstrate Liability Coverage - Florida

DEP Form 62-730.900(4)(P) Hazardous Waste Facility Surety Bond to Demonstrate Liability Coverage - Florida

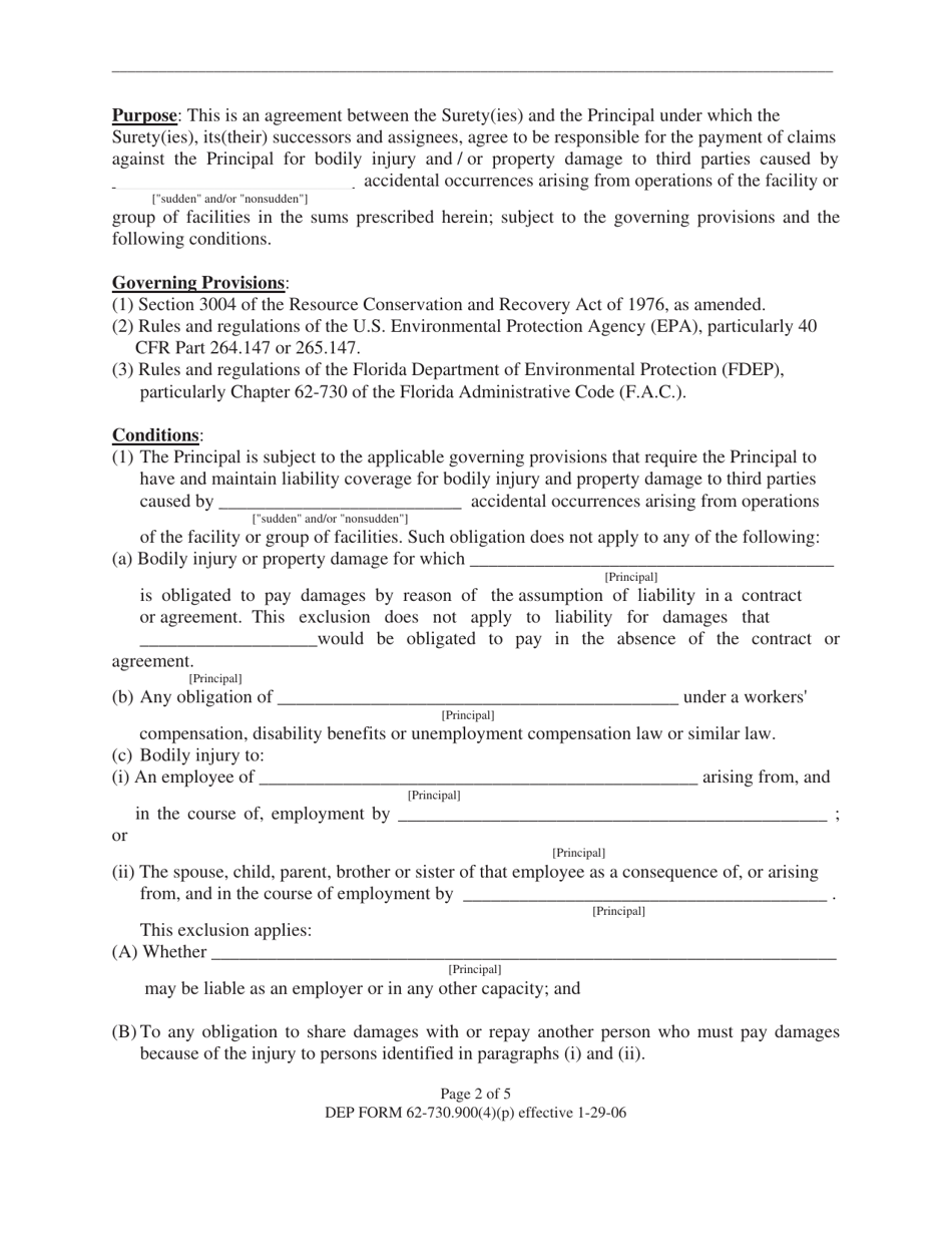
What Is DEP Form 62-730.900(4)(P)?

This is a legal form that was released by the Florida Department of Environmental Protection - a government authority operating within Florida. As of today, no separate filing guidelines for the form are provided by the issuing department.

FAQ

Q: What is DEP Form 62-730.900(4)(P)?
A: DEP Form 62-730.900(4)(P) is a form used in Florida for a Hazardous Waste Facility Surety Bond.

Q: What is the purpose of DEP Form 62-730.900(4)(P)?
A: The purpose of DEP Form 62-730.900(4)(P) is to demonstrate liability coverage for a hazardous waste facility.

Q: Who uses DEP Form 62-730.900(4)(P)?
A: This form is used by hazardous waste facility owners in Florida.

Q: What does the surety bond cover?
A: The surety bond provides liability coverage for the hazardous waste facility.

Q: Why is a surety bond required for hazardous waste facilities?
A: A surety bond is required to ensure that there is financial coverage for any potential environmental damage or cleanup costs caused by the hazardous waste facility.

Q: Is DEP Form 62-730.900(4)(P) specific to Florida?
A: Yes, DEP Form 62-730.900(4)(P) is specific to Florida and is used to comply with the state's regulations for hazardous waste facilities.

ADVERTISEMENT

Form Details:

  • Released on January 29, 2006;
  • The latest edition provided by the Florida Department of Environmental Protection;
  • Easy to use and ready to print;
  • Quick to customize;
  • Compatible with most PDF-viewing applications;
  • Fill out the form in our online filing application.

Download a fillable version of DEP Form 62-730.900(4)(P) by clicking the link below or browse more documents and templates provided by the Florida Department of Environmental Protection.

Download DEP Form 62-730.900(4)(P) Hazardous Waste Facility Surety Bond to Demonstrate Liability Coverage - Florida

4.6 of 5 (22 votes)
  • DEP Form 62-730.900(4)(P) Hazardous Waste Facility Surety Bond to Demonstrate Liability Coverage - Florida

    1

  • DEP Form 62-730.900(4)(P) Hazardous Waste Facility Surety Bond to Demonstrate Liability Coverage - Florida, Page 2

    2

  • DEP Form 62-730.900(4)(P) Hazardous Waste Facility Surety Bond to Demonstrate Liability Coverage - Florida, Page 3

    3

  • DEP Form 62-730.900(4)(P) Hazardous Waste Facility Surety Bond to Demonstrate Liability Coverage - Florida, Page 4

    4

  • DEP Form 62-730.900(4)(P) Hazardous Waste Facility Surety Bond to Demonstrate Liability Coverage - Florida, Page 5

    5

  • DEP Form 62-730.900(4)(P) Hazardous Waste Facility Surety Bond to Demonstrate Liability Coverage - Florida, Page 1
  • DEP Form 62-730.900(4)(P) Hazardous Waste Facility Surety Bond to Demonstrate Liability Coverage - Florida, Page 2
  • DEP Form 62-730.900(4)(P) Hazardous Waste Facility Surety Bond to Demonstrate Liability Coverage - Florida, Page 3
  • DEP Form 62-730.900(4)(P) Hazardous Waste Facility Surety Bond to Demonstrate Liability Coverage - Florida, Page 4
  • DEP Form 62-730.900(4)(P) Hazardous Waste Facility Surety Bond to Demonstrate Liability Coverage - Florida, Page 5
Prev 1 2 3 4 5 Next
ADVERTISEMENT

Related Documents