Form DEPLW0115-B Request for Approval of Timing of Activity From the Department of Inland Fisheries and Wildlife - Maine

Form DEPLW0115-B Request for Approval of Timing of Activity From the Department of Inland Fisheries and Wildlife - Maine

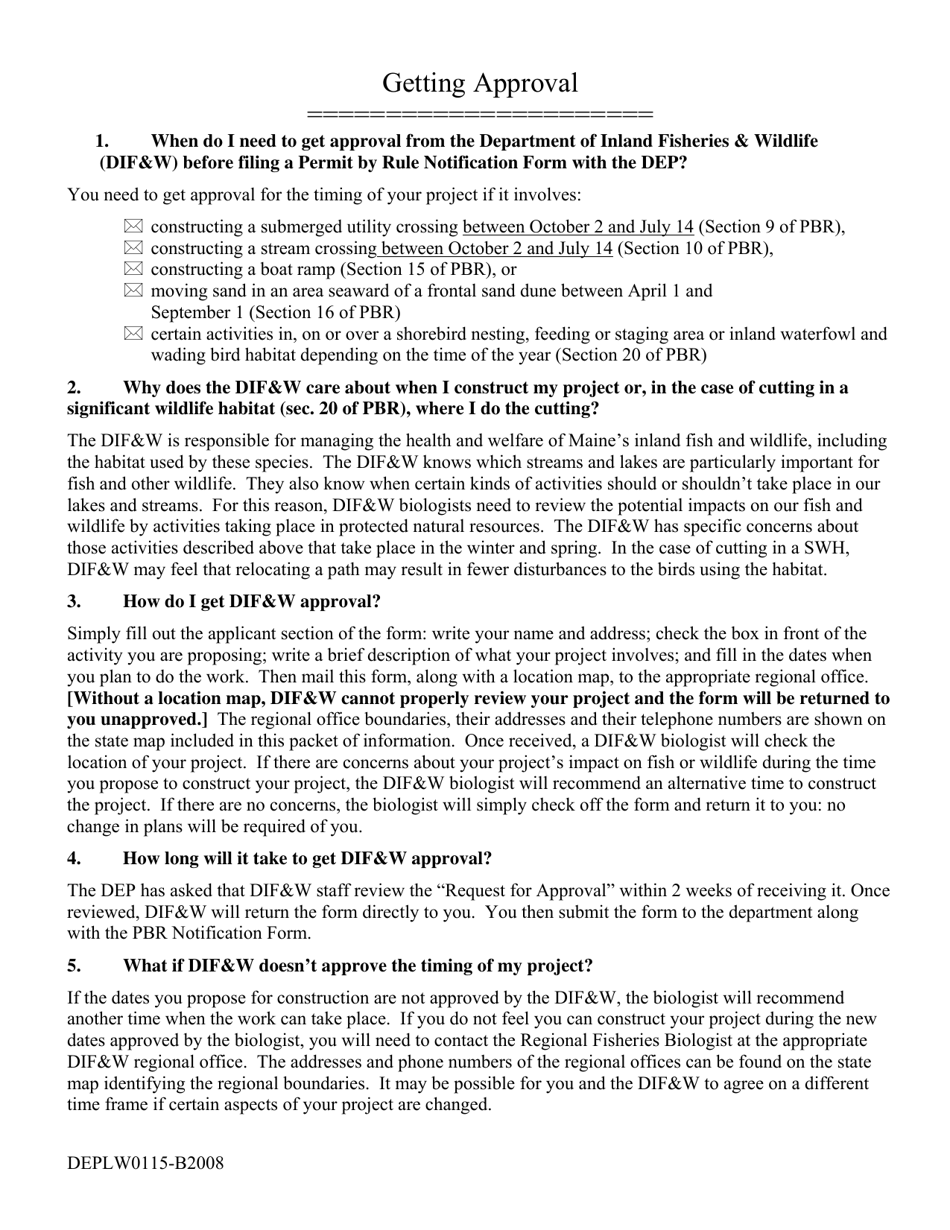
What Is Form DEPLW0115-B?

This is a legal form that was released by the Maine Department of Environmental Protection - a government authority operating within Maine. As of today, no separate filing guidelines for the form are provided by the issuing department.

FAQ

Q: What is DEPLW0115-B?
A: DEPLW0115-B is a form used to request approval of the timing of an activity from the Department of Inland Fisheries and Wildlife in Maine.

Q: Who can use DEPLW0115-B?
A: Anyone who wishes to undertake an activity that may impact wildlife or their habitats in Maine may use DEPLW0115-B to request approval.

Q: What does DEPLW0115-B require?
A: DEPLW0115-B requires information about the proposed activity, its timing, and any potential impacts on wildlife and their habitats.

Q: Why is it necessary to request approval for timing of an activity?
A: Requesting approval for timing helps ensure that activities are conducted in a way that minimizes harm to wildlife and their habitats.

Q: Is DEPLW0115-B specific to Maine?
A: Yes, DEPLW0115-B is specific to the Department of Inland Fisheries and Wildlife in Maine. Other states may have similar forms for requesting approval of timing for activities.

ADVERTISEMENT

Form Details:

  • Released on January 1, 2008;
  • The latest edition provided by the Maine Department of Environmental Protection;
  • Easy to use and ready to print;
  • Quick to customize;
  • Compatible with most PDF-viewing applications;
  • Fill out the form in our online filing application.

Download a fillable version of Form DEPLW0115-B by clicking the link below or browse more documents and templates provided by the Maine Department of Environmental Protection.

Download Form DEPLW0115-B Request for Approval of Timing of Activity From the Department of Inland Fisheries and Wildlife - Maine

4.3 of 5 (9 votes)
  • Form DEPLW0115-B Request for Approval of Timing of Activity From the Department of Inland Fisheries and Wildlife - Maine

    1

  • Form DEPLW0115-B Request for Approval of Timing of Activity From the Department of Inland Fisheries and Wildlife - Maine, Page 2

    2

  • Form DEPLW0115-B Request for Approval of Timing of Activity From the Department of Inland Fisheries and Wildlife - Maine, Page 1
  • Form DEPLW0115-B Request for Approval of Timing of Activity From the Department of Inland Fisheries and Wildlife - Maine, Page 2
Prev 1 2 Next
ADVERTISEMENT