Form CC-DR-109 Maryland Parenting Plan Tool - Maryland

Form CC-DR-109 Maryland Parenting Plan Tool - Maryland

What Is Form CC-DR-109?

This is a legal form that was released by the Maryland Circuit Courts - a government authority operating within Maryland. As of today, no separate filing guidelines for the form are provided by the issuing department.

FAQ

Q: What is Form CC-DR-109?
A: Form CC-DR-109 is the Maryland Parenting Plan Tool.

Q: What is a Parenting Plan?
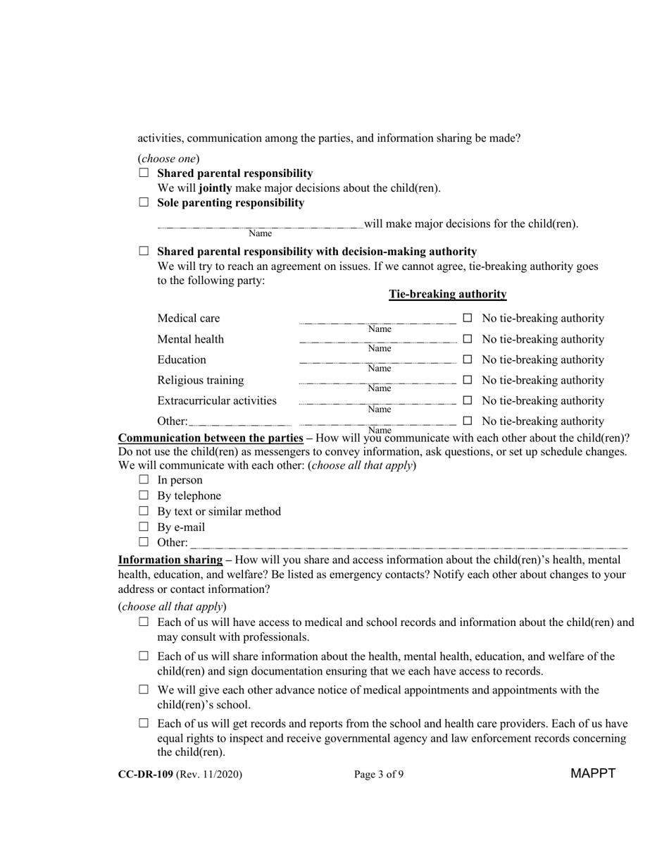
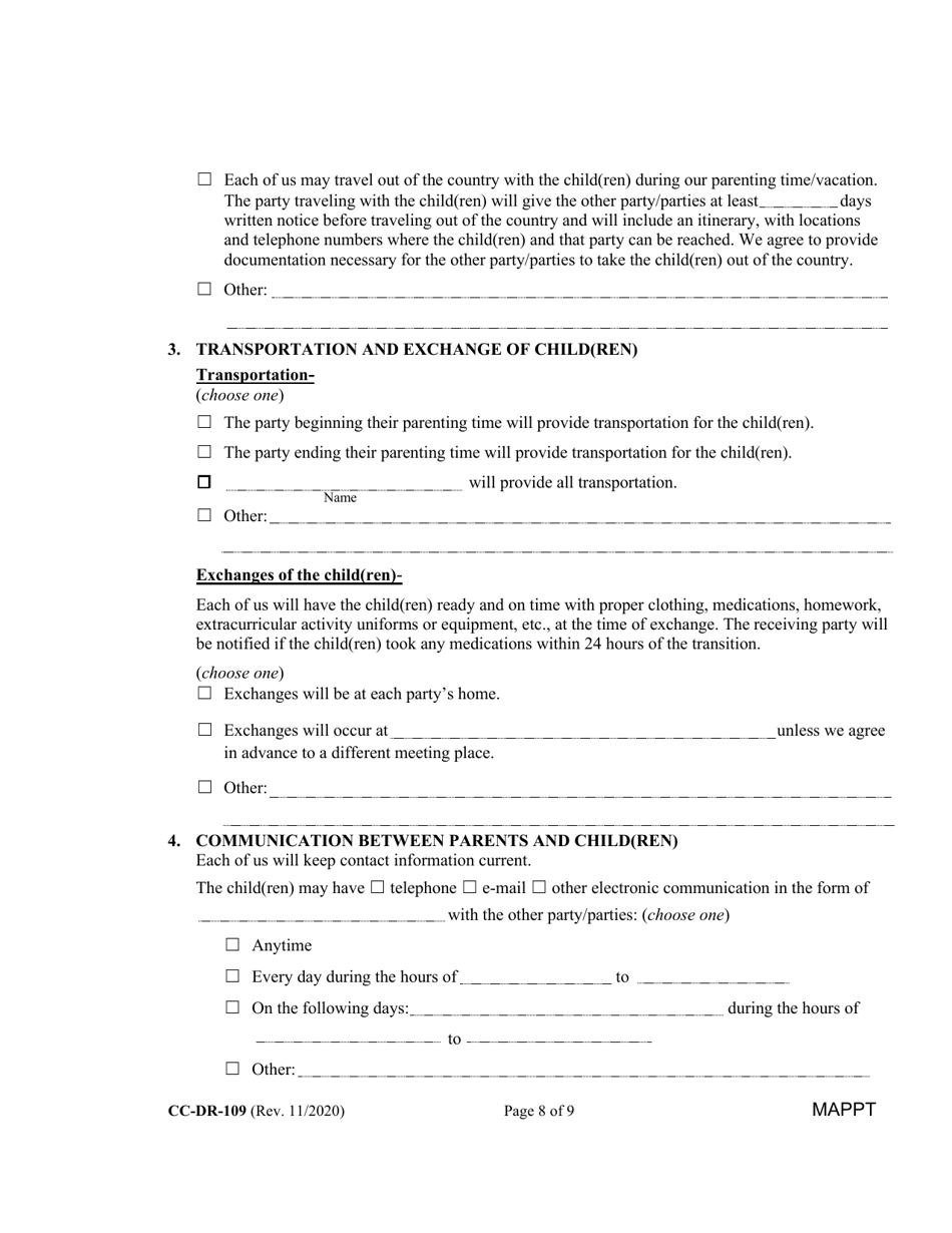
A: A Parenting Plan is a document that outlines how parents will co-parent and make decisions regarding their children after a divorce or separation.

Q: Who uses Form CC-DR-109?
A: Form CC-DR-109 is used by parents in Maryland who are going through a divorce or separation and need to create a parenting plan.

Q: What information is included in Form CC-DR-109?
A: Form CC-DR-109 includes sections for parents to provide information about the child(ren)'s schedule, education, healthcare, and other important aspects of their upbringing.

Q: Do I need a lawyer to fill out Form CC-DR-109?
A: While it's not required to have a lawyer, consulting with a family law attorney is recommended to ensure that your parental rights and the best interests of your child(ren) are protected.

Q: Can the court modify the parenting plan?
A: Yes, the court can modify the parenting plan if there is a significant change in circumstances or if it is determined that the current plan is not in the best interests of the child(ren).

Q: What should I do if I need help filling out Form CC-DR-109?
A: If you need assistance completing Form CC-DR-109, you can contact your local family court or seek guidance from a family law attorney.

Q: Is Form CC-DR-109 specific to Maryland?
A: Yes, Form CC-DR-109 is specific to the state of Maryland and may not be applicable in other states.

Q: Why is it important to have a parenting plan?
A: Having a parenting plan helps establish a clear framework for co-parenting and reduces conflict between parents by providing guidelines for decision-making and parenting responsibilities.

ADVERTISEMENT

Form Details:

  • Released on November 1, 2020;
  • The latest edition provided by the Maryland Circuit Courts;
  • Easy to use and ready to print;
  • Quick to customize;
  • Compatible with most PDF-viewing applications;
  • Fill out the form in our online filing application.

Download a fillable version of Form CC-DR-109 by clicking the link below or browse more documents and templates provided by the Maryland Circuit Courts.

Download Form CC-DR-109 Maryland Parenting Plan Tool - Maryland

4.3 of 5 (30 votes)
  • Form CC-DR-109 Maryland Parenting Plan Tool - Maryland

    1

  • Form CC-DR-109 Maryland Parenting Plan Tool - Maryland, Page 2

    2

  • Form CC-DR-109 Maryland Parenting Plan Tool - Maryland, Page 3

    3

  • Form CC-DR-109 Maryland Parenting Plan Tool - Maryland, Page 4

    4

  • Form CC-DR-109 Maryland Parenting Plan Tool - Maryland, Page 5

    5

  • Form CC-DR-109 Maryland Parenting Plan Tool - Maryland, Page 6

    6

  • Form CC-DR-109 Maryland Parenting Plan Tool - Maryland, Page 7

    7

  • Form CC-DR-109 Maryland Parenting Plan Tool - Maryland, Page 8

    8

  • Form CC-DR-109 Maryland Parenting Plan Tool - Maryland, Page 9

    9

  • Form CC-DR-109 Maryland Parenting Plan Tool - Maryland, Page 1
  • Form CC-DR-109 Maryland Parenting Plan Tool - Maryland, Page 2
  • Form CC-DR-109 Maryland Parenting Plan Tool - Maryland, Page 3
  • Form CC-DR-109 Maryland Parenting Plan Tool - Maryland, Page 4
  • Form CC-DR-109 Maryland Parenting Plan Tool - Maryland, Page 5
  • Form CC-DR-109 Maryland Parenting Plan Tool - Maryland, Page 6
  • Form CC-DR-109 Maryland Parenting Plan Tool - Maryland, Page 7
  • Form CC-DR-109 Maryland Parenting Plan Tool - Maryland, Page 8
  • Form CC-DR-109 Maryland Parenting Plan Tool - Maryland, Page 9
Prev 1 2 3 4 5 ... 9 Next
ADVERTISEMENT

Related Documents