Form LR-ER Lobbyist Expense Report - North Carolina

Notification Icon This version of the form is not currently in use and is provided for reference only. Download this version of Form LR-ER for the current year.

Form LR-ER Lobbyist Expense Report - North Carolina

What Is Form LR-ER?

This is a legal form that was released by the North Carolina Secretary of State - a government authority operating within North Carolina. As of today, no separate filing guidelines for the form are provided by the issuing department.

FAQ

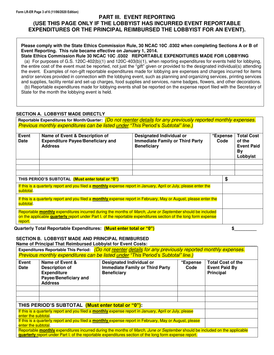
Q: What is the LR-ER Lobbyist Expense Report?
A: The LR-ER Lobbyist Expense Report is a form used in North Carolina to report expenses incurred by lobbyists.

Q: Who needs to file the LR-ER Lobbyist Expense Report?
A: Lobbyists in North Carolina are required to file the LR-ER Lobbyist Expense Report.

Q: What information is required in the LR-ER Lobbyist Expense Report?
A: The LR-ER Lobbyist Expense Report requires information about the lobbyist, their clients, expenses incurred, and the purpose of those expenses.

Q: When is the deadline for filing the LR-ER Lobbyist Expense Report?
A: The deadline for filing the LR-ER Lobbyist Expense Report in North Carolina is determined by specific reporting periods. Check with the North Carolina Secretary of State for the applicable deadline.

Q: Are there any penalties for late or non-filing of the LR-ER Lobbyist Expense Report?
A: Yes, there can be penalties for late or non-filing of the LR-ER Lobbyist Expense Report. It is important to comply with the filing requirements to avoid penalties.

ADVERTISEMENT

Form Details:

  • Released on November 6, 2020;
  • The latest edition provided by the North Carolina Secretary of State;
  • Easy to use and ready to print;
  • Quick to customize;
  • Compatible with most PDF-viewing applications;
  • Fill out the form in our online filing application.

Download a printable version of Form LR-ER by clicking the link below or browse more documents and templates provided by the North Carolina Secretary of State.

Download Form LR-ER Lobbyist Expense Report - North Carolina

4.5 of 5 (12 votes)
  • Form LR-ER Lobbyist Expense Report - North Carolina

    1

  • Form LR-ER Lobbyist Expense Report - North Carolina, Page 2

    2

  • Form LR-ER Lobbyist Expense Report - North Carolina, Page 3

    3

  • Form LR-ER Lobbyist Expense Report - North Carolina, Page 4

    4

  • Form LR-ER Lobbyist Expense Report - North Carolina, Page 5

    5

  • Form LR-ER Lobbyist Expense Report - North Carolina, Page 6

    6

  • Form LR-ER Lobbyist Expense Report - North Carolina, Page 1
  • Form LR-ER Lobbyist Expense Report - North Carolina, Page 2
  • Form LR-ER Lobbyist Expense Report - North Carolina, Page 3
  • Form LR-ER Lobbyist Expense Report - North Carolina, Page 4
  • Form LR-ER Lobbyist Expense Report - North Carolina, Page 5
  • Form LR-ER Lobbyist Expense Report - North Carolina, Page 6
Prev 1 2 3 4 5 6 Next
ADVERTISEMENT