Claims of Beneficial Use for Transfer New or Additional Pod Only - Oregon

Claims of Beneficial Use for Transfer New or Additional Pod Only - Oregon

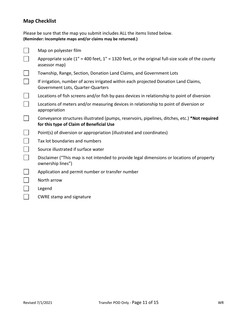
Claims of Beneficial Use for Transfer New or Additional Pod Only is a legal document that was released by the Oregon Water Resources Department - a government authority operating within Oregon.

FAQ

Q: What is a "transfer new or additional pod" claim in Oregon?
A: A transfer new or additional pod claim in Oregon refers to the process of transferring the right to use and divert water from one location to another within the state.

Q: What is considered a "beneficial use" for a transfer new or additional pod claim in Oregon?
A: Beneficial use, in the context of a transfer new or additional pod claim in Oregon, refers to using the water for a purpose that is considered reasonable and necessary, such as irrigation, domestic use, or industrial purposes.

Q: How can I apply for a transfer new or additional pod claim in Oregon?
A: To apply for a transfer new or additional pod claim in Oregon, you need to submit a completed application form to the Oregon Water Resources Department, along with the required fees and supporting documentation.

Q: Are there any restrictions or limitations on transfer new or additional pod claims in Oregon?
A: Yes, there are several restrictions and limitations on transfer new or additional pod claims in Oregon, including requirements for maintaining the same or a similar beneficial use, protecting existing water rights, and adhering to any applicable regulatory guidelines.

Q: Can I sell or transfer my transfer new or additional pod claim in Oregon?
A: Yes, transfer new or additional pod claims in Oregon can be sold or transferred, subject to certain conditions and approval from the Oregon Water Resources Department.

Q: How long does it take to process a transfer new or additional pod claim in Oregon?
A: The processing time for a transfer new or additional pod claim in Oregon can vary depending on various factors, but it typically takes several months to complete the evaluation and approval process.

ADVERTISEMENT

Form Details:

  • Released on July 1, 2021;
  • The latest edition currently provided by the Oregon Water Resources Department;
  • Ready to use and print;
  • Easy to customize;
  • Compatible with most PDF-viewing applications;
  • Fill out the form in our online filing application.

Download a printable version of the form by clicking the link below or browse more documents and templates provided by the Oregon Water Resources Department.

Download Claims of Beneficial Use for Transfer New or Additional Pod Only - Oregon

4.3 of 5 (28 votes)
  • Claims of Beneficial Use for Transfer New or Additional Pod Only - Oregon

    1

  • Claims of Beneficial Use for Transfer New or Additional Pod Only - Oregon, Page 2

    2

  • Claims of Beneficial Use for Transfer New or Additional Pod Only - Oregon, Page 3

    3

  • Claims of Beneficial Use for Transfer New or Additional Pod Only - Oregon, Page 4

    4

  • Claims of Beneficial Use for Transfer New or Additional Pod Only - Oregon, Page 5

    5

  • Claims of Beneficial Use for Transfer New or Additional Pod Only - Oregon, Page 6

    6

  • Claims of Beneficial Use for Transfer New or Additional Pod Only - Oregon, Page 7

    7

  • Claims of Beneficial Use for Transfer New or Additional Pod Only - Oregon, Page 8

    8

  • Claims of Beneficial Use for Transfer New or Additional Pod Only - Oregon, Page 9

    9

  • Claims of Beneficial Use for Transfer New or Additional Pod Only - Oregon, Page 10

    10

  • Claims of Beneficial Use for Transfer New or Additional Pod Only - Oregon, Page 11

    11

  • Claims of Beneficial Use for Transfer New or Additional Pod Only - Oregon, Page 12

    12

  • Claims of Beneficial Use for Transfer New or Additional Pod Only - Oregon, Page 13

    13

  • Claims of Beneficial Use for Transfer New or Additional Pod Only - Oregon, Page 14

    14

  • Claims of Beneficial Use for Transfer New or Additional Pod Only - Oregon, Page 15

    15

  • Claims of Beneficial Use for Transfer New or Additional Pod Only - Oregon, Page 1
  • Claims of Beneficial Use for Transfer New or Additional Pod Only - Oregon, Page 2
  • Claims of Beneficial Use for Transfer New or Additional Pod Only - Oregon, Page 3
  • Claims of Beneficial Use for Transfer New or Additional Pod Only - Oregon, Page 4
  • Claims of Beneficial Use for Transfer New or Additional Pod Only - Oregon, Page 5
  • Claims of Beneficial Use for Transfer New or Additional Pod Only - Oregon, Page 6
  • Claims of Beneficial Use for Transfer New or Additional Pod Only - Oregon, Page 7
  • Claims of Beneficial Use for Transfer New or Additional Pod Only - Oregon, Page 8
  • Claims of Beneficial Use for Transfer New or Additional Pod Only - Oregon, Page 9
  • Claims of Beneficial Use for Transfer New or Additional Pod Only - Oregon, Page 10
  • Claims of Beneficial Use for Transfer New or Additional Pod Only - Oregon, Page 11
  • Claims of Beneficial Use for Transfer New or Additional Pod Only - Oregon, Page 12
  • Claims of Beneficial Use for Transfer New or Additional Pod Only - Oregon, Page 13
  • Claims of Beneficial Use for Transfer New or Additional Pod Only - Oregon, Page 14
  • Claims of Beneficial Use for Transfer New or Additional Pod Only - Oregon, Page 15
Prev 1 2 3 4 5 ... 15 Next
ADVERTISEMENT

Related Documents