Claims of Beneficial Use for Surface Water Permits Claiming More Than 0.1 Cfs - Oregon

Claims of Beneficial Use for Surface Water Permits Claiming More Than 0.1 Cfs - Oregon

Claims of Surface Water Permits Claiming More Than 0.1 Cfs is a legal document that was released by the Oregon Water Resources Department - a government authority operating within Oregon.

FAQ

Q: What is the threshold for claiming beneficial use for surface water permits in Oregon?
A: The threshold is claiming more than 0.1 Cfs.

Q: What is a surface water permit?
A: A surface water permit is a legal authorization to use water from a surface water source such as a river, stream, or lake.

Q: What is beneficial use?
A: Beneficial use refers to the reasonable and beneficial use of water for a lawful purpose, such as irrigation, domestic use, or industrial use.

Q: What happens if you claim beneficial use for a surface water permit in Oregon?
A: If you claim beneficial use, you are asserting your right to use the water for a specific purpose, and it may be subject to review and regulation by the state.

Q: How much water flow is required to claim beneficial use for a surface water permit in Oregon?
A: You need to claim more than 0.1 Cfs (cubic feet per second) of water flow to assert beneficial use.

Q: What types of activities can a surface water permit be used for?
A: A surface water permit can be used for various activities such as irrigation, livestock watering, fish culture, municipal water supply, and industrial use.

Q: Who regulates surface water permits in Oregon?
A: Surface water permits in Oregon are regulated by the Oregon Water Resources Department.

ADVERTISEMENT

Form Details:

  • Released on July 1, 2021;
  • The latest edition currently provided by the Oregon Water Resources Department;
  • Ready to use and print;
  • Easy to customize;
  • Compatible with most PDF-viewing applications;
  • Fill out the form in our online filing application.

Download a printable version of the form by clicking the link below or browse more documents and templates provided by the Oregon Water Resources Department.

Download Claims of Beneficial Use for Surface Water Permits Claiming More Than 0.1 Cfs - Oregon

4.6 of 5 (23 votes)
  • Claims of Beneficial Use for Surface Water Permits Claiming More Than 0.1 Cfs - Oregon

    1

  • Claims of Beneficial Use for Surface Water Permits Claiming More Than 0.1 Cfs - Oregon, Page 2

    2

  • Claims of Beneficial Use for Surface Water Permits Claiming More Than 0.1 Cfs - Oregon, Page 3

    3

  • Claims of Beneficial Use for Surface Water Permits Claiming More Than 0.1 Cfs - Oregon, Page 4

    4

  • Claims of Beneficial Use for Surface Water Permits Claiming More Than 0.1 Cfs - Oregon, Page 5

    5

  • Claims of Beneficial Use for Surface Water Permits Claiming More Than 0.1 Cfs - Oregon, Page 6

    6

  • Claims of Beneficial Use for Surface Water Permits Claiming More Than 0.1 Cfs - Oregon, Page 7

    7

  • Claims of Beneficial Use for Surface Water Permits Claiming More Than 0.1 Cfs - Oregon, Page 8

    8

  • Claims of Beneficial Use for Surface Water Permits Claiming More Than 0.1 Cfs - Oregon, Page 9

    9

  • Claims of Beneficial Use for Surface Water Permits Claiming More Than 0.1 Cfs - Oregon, Page 10

    10

  • Claims of Beneficial Use for Surface Water Permits Claiming More Than 0.1 Cfs - Oregon, Page 11

    11

  • Claims of Beneficial Use for Surface Water Permits Claiming More Than 0.1 Cfs - Oregon, Page 12

    12

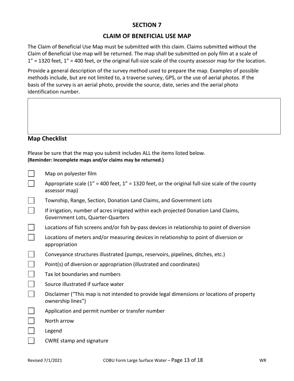
  • Claims of Beneficial Use for Surface Water Permits Claiming More Than 0.1 Cfs - Oregon, Page 13

    13

  • Claims of Beneficial Use for Surface Water Permits Claiming More Than 0.1 Cfs - Oregon, Page 14

    14

  • Claims of Beneficial Use for Surface Water Permits Claiming More Than 0.1 Cfs - Oregon, Page 15

    15

  • Claims of Beneficial Use for Surface Water Permits Claiming More Than 0.1 Cfs - Oregon, Page 16

    16

  • Claims of Beneficial Use for Surface Water Permits Claiming More Than 0.1 Cfs - Oregon, Page 17

    17

  • Claims of Beneficial Use for Surface Water Permits Claiming More Than 0.1 Cfs - Oregon, Page 18

    18

  • Claims of Beneficial Use for Surface Water Permits Claiming More Than 0.1 Cfs - Oregon, Page 1
  • Claims of Beneficial Use for Surface Water Permits Claiming More Than 0.1 Cfs - Oregon, Page 2
  • Claims of Beneficial Use for Surface Water Permits Claiming More Than 0.1 Cfs - Oregon, Page 3
  • Claims of Beneficial Use for Surface Water Permits Claiming More Than 0.1 Cfs - Oregon, Page 4
  • Claims of Beneficial Use for Surface Water Permits Claiming More Than 0.1 Cfs - Oregon, Page 5
  • Claims of Beneficial Use for Surface Water Permits Claiming More Than 0.1 Cfs - Oregon, Page 6
  • Claims of Beneficial Use for Surface Water Permits Claiming More Than 0.1 Cfs - Oregon, Page 7
  • Claims of Beneficial Use for Surface Water Permits Claiming More Than 0.1 Cfs - Oregon, Page 8
  • Claims of Beneficial Use for Surface Water Permits Claiming More Than 0.1 Cfs - Oregon, Page 9
  • Claims of Beneficial Use for Surface Water Permits Claiming More Than 0.1 Cfs - Oregon, Page 10
  • Claims of Beneficial Use for Surface Water Permits Claiming More Than 0.1 Cfs - Oregon, Page 11
  • Claims of Beneficial Use for Surface Water Permits Claiming More Than 0.1 Cfs - Oregon, Page 12
  • Claims of Beneficial Use for Surface Water Permits Claiming More Than 0.1 Cfs - Oregon, Page 13
  • Claims of Beneficial Use for Surface Water Permits Claiming More Than 0.1 Cfs - Oregon, Page 14
  • Claims of Beneficial Use for Surface Water Permits Claiming More Than 0.1 Cfs - Oregon, Page 15
  • Claims of Beneficial Use for Surface Water Permits Claiming More Than 0.1 Cfs - Oregon, Page 16
  • Claims of Beneficial Use for Surface Water Permits Claiming More Than 0.1 Cfs - Oregon, Page 17
  • Claims of Beneficial Use for Surface Water Permits Claiming More Than 0.1 Cfs - Oregon, Page 18
Prev 1 2 3 4 5 ... 18 Next
ADVERTISEMENT

Related Documents