Instructions for Recycled Water Annual Report - Oregon

Instructions for Recycled Water Annual Report - Oregon

This document was released by Oregon Department of Environmental Quality and contains official instructions for Recycled Water Annual Report . The up-to-date fillable form is available for download through this link.

FAQ

Q: What is the Recycled Water Annual Report?
A: The Recycled Water Annual Report is a report that provides information on the usage and management of recycled water in Oregon.

Q: Who is required to submit the Recycled Water Annual Report?
A: Facilities that use recycled water in Oregon are required to submit the Recycled Water Annual Report.

Q: What information does the Recycled Water Annual Report include?
A: The Recycled Water Annual Report includes information on the amount of recycled water used, the purposes of the water use, and any water quality monitoring and treatment measures.

Q: When is the deadline to submit the Recycled Water Annual Report?
A: The deadline to submit the Recycled Water Annual Report is usually on or before March 1st of the following year.

Q: Are there any penalties for not submitting the Recycled Water Annual Report?
A: Yes, facilities that fail to submit the Recycled Water Annual Report may be subject to penalties and enforcement actions by the regulatory agency.

Q: Is there a template or form to use for the Recycled Water Annual Report?
A: Yes, the regulatory agency usually provides a template or form that facilities can use for submitting the Recycled Water Annual Report.

Q: Can facilities request an extension for submitting the Recycled Water Annual Report?
A: Facilities may be able to request an extension for submitting the Recycled Water Annual Report, but it is important to contact the regulatory agency in advance to make necessary arrangements.

Q: Is there a fee for submitting the Recycled Water Annual Report?
A: There is usually no fee for submitting the Recycled Water Annual Report, but it is best to check with the regulatory agency to confirm.

ADVERTISEMENT

Instruction Details:

  • This 4-page document is available for download in PDF;
  • Actual and applicable for the current year;
  • Complete, printable, and free.

Download your copy of the instructions by clicking the link below or browse hundreds of other forms in our library legal documents released by the Oregon Department of Environmental Quality.

Download Instructions for Recycled Water Annual Report - Oregon

4.5 of 5 (25 votes)
  • Instructions for Recycled Water Annual Report - Oregon

    1

  • Instructions for Recycled Water Annual Report - Oregon, Page 2

    2

  • Instructions for Recycled Water Annual Report - Oregon, Page 3

    3

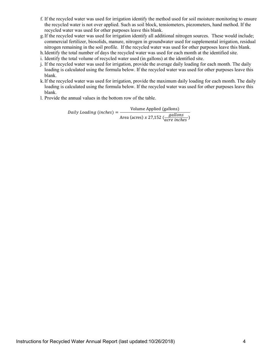
  • Instructions for Recycled Water Annual Report - Oregon, Page 4

    4

  • Instructions for Recycled Water Annual Report - Oregon, Page 1
  • Instructions for Recycled Water Annual Report - Oregon, Page 2
  • Instructions for Recycled Water Annual Report - Oregon, Page 3
  • Instructions for Recycled Water Annual Report - Oregon, Page 4
Prev 1 2 3 4 Next
ADVERTISEMENT

Related Documents