Private Detective or Investigator Surety Bond - West Virginia

Private Detective or Investigator Surety Bond - West Virginia

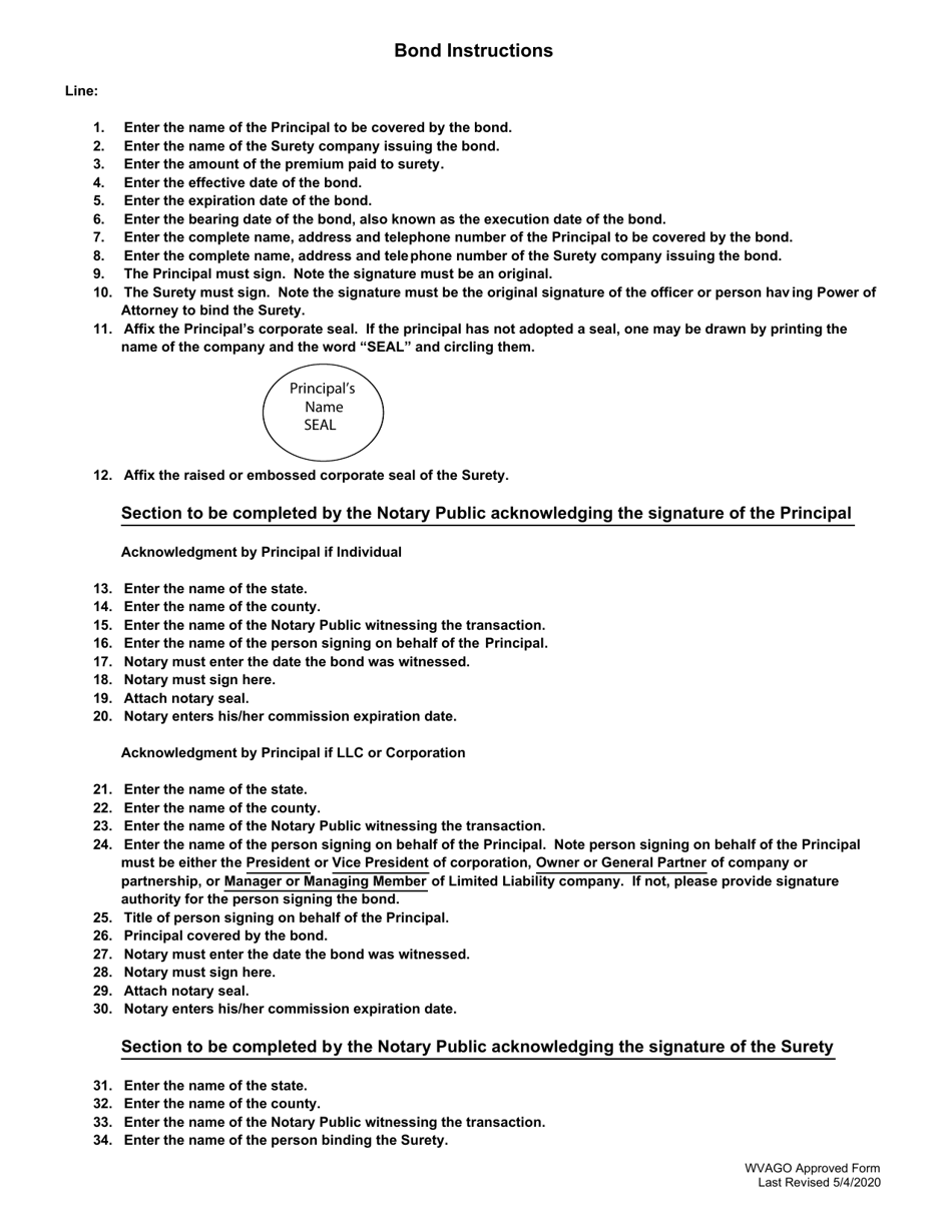
Private Detective or Investigator Surety Bond is a legal document that was released by the West Virginia Secretary of State - a government authority operating within West Virginia.

FAQ

Q: What is a Private Detective or Investigator Surety Bond?
A: A Private Detective or Investigator Surety Bond is a type of insurance that private detectives or investigators in West Virginia are required to obtain as a form of financial protection.

Q: Who needs a Private Detective or Investigator Surety Bond in West Virginia?
A: Private detectives or investigators operating in West Virginia need to have a Private Detective or Investigator Surety Bond.

Q: Why do private detectives or investigators need a surety bond?
A: Private detectives or investigators need a surety bond to ensure financial protection for their clients in case of any fraudulent or unethical behavior.

Q: How much does a Private Detective or Investigator Surety Bond cost in West Virginia?
A: The cost of a Private Detective or Investigator Surety Bond in West Virginia varies depending on factors such as the coverage amount and the applicant's financial history.

Q: Do all states require a Private Detective or Investigator Surety Bond?
A: No, the requirements for a Private Detective or Investigator Surety Bond vary by state. It is important to check the specific regulations in the state where you intend to operate as a private detective or investigator.

Q: Is a Private Detective or Investigator Surety Bond the same as liability insurance?
A: No, a Private Detective or Investigator Surety Bond is not the same as liability insurance. While both provide financial protection, they cover different aspects of a private detective or investigator's business.

Q: What happens if a private detective or investigator does not have a surety bond?
A: If a private detective or investigator in West Virginia does not have a required surety bond, they may face fines, penalties, or even license suspension.

Q: Can I cancel a Private Detective or Investigator Surety Bond?
A: Yes, a Private Detective or Investigator Surety Bond can typically be canceled. However, it is important to check the specific terms and conditions of the bond for cancellation policies and any potential fees.

Q: How long does a Private Detective or Investigator Surety Bond last?
A: The duration of a Private Detective or Investigator Surety Bond in West Virginia can vary, but it is usually valid for one year from the date it is issued.

ADVERTISEMENT

Form Details:

  • Released on May 4, 2020;
  • The latest edition currently provided by the West Virginia Secretary of State;
  • Ready to use and print;
  • Easy to customize;
  • Compatible with most PDF-viewing applications;
  • Fill out the form in our online filing application.

Download a fillable version of the form by clicking the link below or browse more documents and templates provided by the West Virginia Secretary of State.

Download Private Detective or Investigator Surety Bond - West Virginia

4.7 of 5 (29 votes)
  • Private Detective or Investigator Surety Bond - West Virginia

    1

  • Private Detective or Investigator Surety Bond - West Virginia, Page 2

    2

  • Private Detective or Investigator Surety Bond - West Virginia, Page 3

    3

  • Private Detective or Investigator Surety Bond - West Virginia, Page 4

    4

  • Private Detective or Investigator Surety Bond - West Virginia, Page 5

    5

  • Private Detective or Investigator Surety Bond - West Virginia, Page 1
  • Private Detective or Investigator Surety Bond - West Virginia, Page 2
  • Private Detective or Investigator Surety Bond - West Virginia, Page 3
  • Private Detective or Investigator Surety Bond - West Virginia, Page 4
  • Private Detective or Investigator Surety Bond - West Virginia, Page 5
Prev 1 2 3 4 5 Next
ADVERTISEMENT