DOH Form 348-575 Information Sharing Agreement for Viewing Immunization Data - Washington State Immunization Information System - Washington

DOH Form 348-575 Information Sharing Agreement for Viewing Immunization Data - Washington State Immunization Information System - Washington

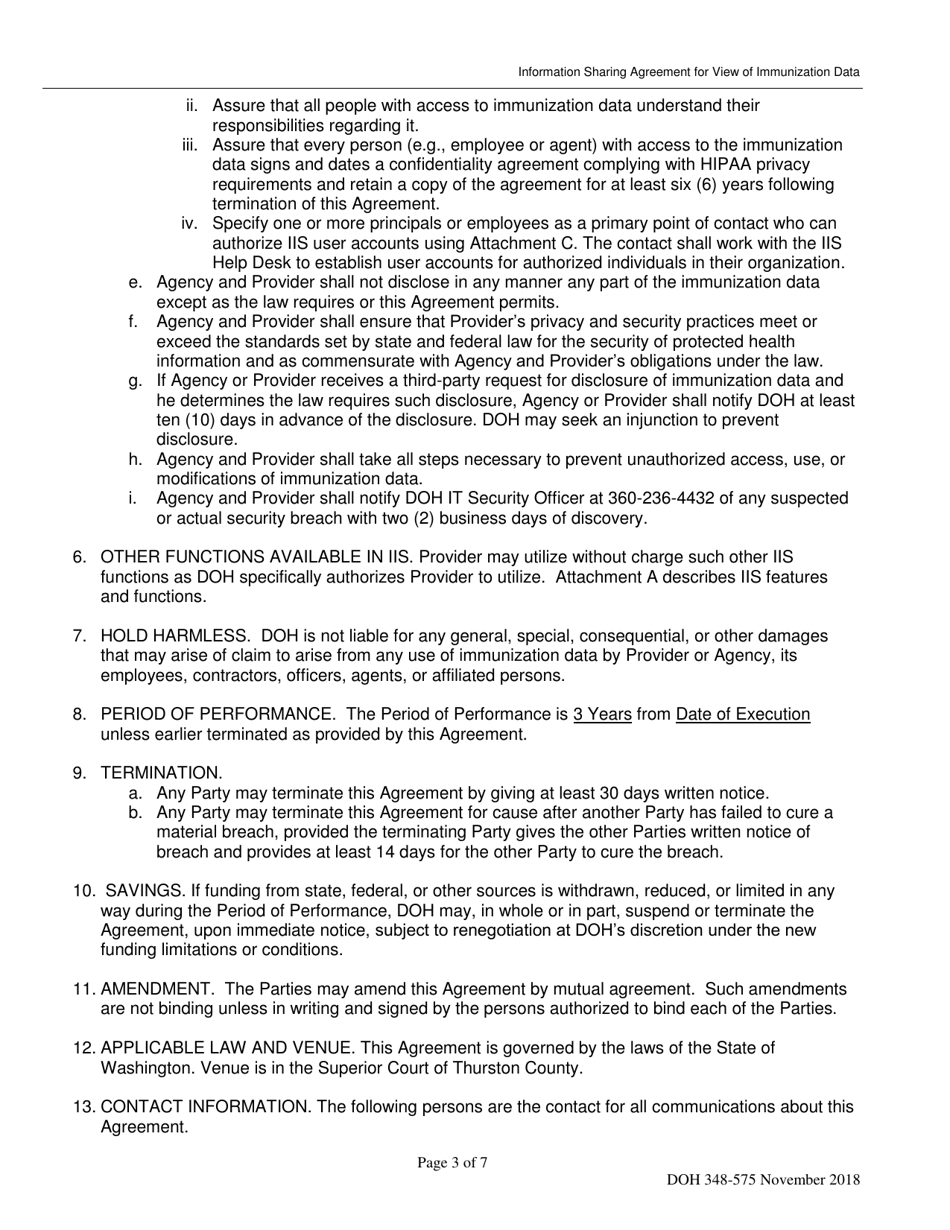
What Is DOH Form 348-575?

This is a legal form that was released by the Washington State Department of Health - a government authority operating within Washington. As of today, no separate filing guidelines for the form are provided by the issuing department.

FAQ

Q: What is DOH Form 348-575?
A: DOH Form 348-575 is an Information Sharing Agreement.

Q: What is the purpose of DOH Form 348-575?
A: The purpose of DOH Form 348-575 is to allow for the sharing of immunization data in Washington State.

Q: What is the Washington State Immunization Information System?
A: The Washington State Immunization Information System is a system that stores immunization records.

Q: What is the purpose of the Washington State Immunization Information System?
A: The purpose of the Washington State Immunization Information System is to improve immunization rates and reduce the incidence of vaccine-preventable diseases.

Q: Who can access the immunization data through DOH Form 348-575?
A: Only authorized individuals or organizations can access the immunization data.

Q: Is there a fee for accessing the immunization data?
A: No, there is no fee for accessing the immunization data through DOH Form 348-575.

ADVERTISEMENT

Form Details:

  • Released on November 1, 2018;
  • The latest edition provided by the Washington State Department of Health;
  • Easy to use and ready to print;
  • Quick to customize;
  • Compatible with most PDF-viewing applications;
  • Fill out the form in our online filing application.

Download a printable version of DOH Form 348-575 by clicking the link below or browse more documents and templates provided by the Washington State Department of Health.

Download DOH Form 348-575 Information Sharing Agreement for Viewing Immunization Data - Washington State Immunization Information System - Washington

4.7 of 5 (19 votes)
  • DOH Form 348-575 Information Sharing Agreement for Viewing Immunization Data - Washington State Immunization Information System - Washington

    1

  • DOH Form 348-575 Information Sharing Agreement for Viewing Immunization Data - Washington State Immunization Information System - Washington, Page 2

    2

  • DOH Form 348-575 Information Sharing Agreement for Viewing Immunization Data - Washington State Immunization Information System - Washington, Page 3

    3

  • DOH Form 348-575 Information Sharing Agreement for Viewing Immunization Data - Washington State Immunization Information System - Washington, Page 4

    4

  • DOH Form 348-575 Information Sharing Agreement for Viewing Immunization Data - Washington State Immunization Information System - Washington, Page 5

    5

  • DOH Form 348-575 Information Sharing Agreement for Viewing Immunization Data - Washington State Immunization Information System - Washington, Page 6

    6

  • DOH Form 348-575 Information Sharing Agreement for Viewing Immunization Data - Washington State Immunization Information System - Washington, Page 7

    7

  • DOH Form 348-575 Information Sharing Agreement for Viewing Immunization Data - Washington State Immunization Information System - Washington, Page 1
  • DOH Form 348-575 Information Sharing Agreement for Viewing Immunization Data - Washington State Immunization Information System - Washington, Page 2
  • DOH Form 348-575 Information Sharing Agreement for Viewing Immunization Data - Washington State Immunization Information System - Washington, Page 3
  • DOH Form 348-575 Information Sharing Agreement for Viewing Immunization Data - Washington State Immunization Information System - Washington, Page 4
  • DOH Form 348-575 Information Sharing Agreement for Viewing Immunization Data - Washington State Immunization Information System - Washington, Page 5
  • DOH Form 348-575 Information Sharing Agreement for Viewing Immunization Data - Washington State Immunization Information System - Washington, Page 6
  • DOH Form 348-575 Information Sharing Agreement for Viewing Immunization Data - Washington State Immunization Information System - Washington, Page 7
Prev 1 2 3 4 5 ... 7 Next
ADVERTISEMENT

Related Documents