Forest Fire Protection Assessment (Ffpa) Refund Form - Washington

Forest Fire Protection Assessment (Ffpa) Refund Form - Washington

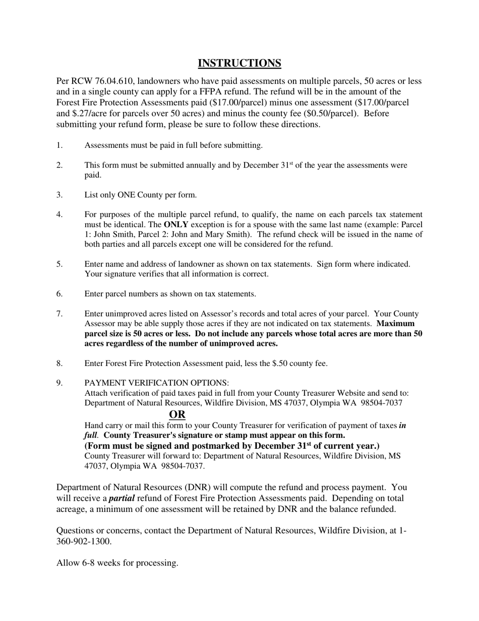
Forest Fire Protection Assessment (Ffpa) Refund Form is a legal document that was released by the Washington State Department of Natural Resources - a government authority operating within Washington.

FAQ

Q: What is the Forest Fire Protection Assessment (FFPA) refund form?
A: The FFPA refund form is a form to request a refund of the Forest Fire Protection Assessment in Washington.

Q: Who is eligible for a FFPA refund?
A: Property owners who paid the Forest Fire Protection Assessment in Washington are eligible for a refund.

Q: How can I request a FFPA refund?
A: You can request a FFPA refund by completing and submitting the FFPA refund form.

Q: Is there a deadline to submit the FFPA refund form?
A: Yes, the deadline to submit the FFPA refund form is usually on or before May 1st each year.

Q: What happens after I submit the FFPA refund form?
A: After you submit the FFPA refund form, your application will be reviewed and if approved, you will receive a refund of the assessed amount.

Q: Can I get a refund for multiple years of FFPA payments?
A: Yes, you can request a refund for multiple years of FFPA payments by indicating the years on the refund form.

Q: Are there any fees associated with the FFPA refund?
A: No, there are no fees associated with the FFPA refund.

Q: Can I still apply for a FFPA refund if I sold my property?
A: Yes, if you sold your property and paid the FFPA, you may still be eligible for a refund. Contact the Washington Department of Natural Resources for more information.

Q: Who should I contact for more information about the FFPA refund?
A: For more information about the FFPA refund, you can contact the Washington Department of Natural Resources.

ADVERTISEMENT

Form Details:

  • Released on June 11, 2019;
  • The latest edition currently provided by the Washington State Department of Natural Resources;
  • Ready to use and print;
  • Easy to customize;
  • Compatible with most PDF-viewing applications;
  • Fill out the form in our online filing application.

Download a fillable version of the form by clicking the link below or browse more documents and templates provided by the Washington State Department of Natural Resources.

Download Forest Fire Protection Assessment (Ffpa) Refund Form - Washington

4.8 of 5 (18 votes)
  • Forest Fire Protection Assessment (Ffpa) Refund Form - Washington

    1

  • Forest Fire Protection Assessment (Ffpa) Refund Form - Washington, Page 2

    2

  • Forest Fire Protection Assessment (Ffpa) Refund Form - Washington, Page 1
  • Forest Fire Protection Assessment (Ffpa) Refund Form - Washington, Page 2
Prev 1 2 Next
ADVERTISEMENT