DOT Form 224-694 Application for Access Connection Permit - Managed Access Highways Only - Washington

Notification Icon This version of the form is not currently in use and is provided for reference only. Download this version of DOT Form 224-694 for the current year.

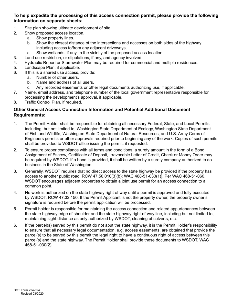
DOT Form 224-694 Application for Access Connection Permit - Managed Access Highways Only - Washington

What Is DOT Form 224-694?

This is a legal form that was released by the Washington State Department of Transportation - a government authority operating within Washington. As of today, no separate filing guidelines for the form are provided by the issuing department.

FAQ

Q: What is the DOT Form 224-694 used for?
A: The DOT Form 224-694 is used for applying for an Access Connection Permit on Managed Access Highways in Washington.

Q: What are Managed Access Highways?
A: Managed Access Highways are roadways where access to and from the highway is controlled and limited.

Q: Who needs to fill out the DOT Form 224-694?
A: Anyone who wants to apply for an Access Connection Permit on Managed Access Highways in Washington needs to fill out this form.

Q: Is the DOT Form 224-694 specific to Washington?
A: Yes, the DOT Form 224-694 is specific to Washington and is used for applying for Access Connection Permits on Managed Access Highways in the state.

ADVERTISEMENT

Form Details:

  • Released on March 1, 2020;
  • The latest edition provided by the Washington State Department of Transportation;
  • Easy to use and ready to print;
  • Quick to customize;
  • Compatible with most PDF-viewing applications;
  • Fill out the form in our online filing application.

Download a fillable version of DOT Form 224-694 by clicking the link below or browse more documents and templates provided by the Washington State Department of Transportation.

Download DOT Form 224-694 Application for Access Connection Permit - Managed Access Highways Only - Washington

4.7 of 5 (11 votes)
  • DOT Form 224-694 Application for Access Connection Permit - Managed Access Highways Only - Washington

    1

  • DOT Form 224-694 Application for Access Connection Permit - Managed Access Highways Only - Washington, Page 2

    2

  • DOT Form 224-694 Application for Access Connection Permit - Managed Access Highways Only - Washington, Page 1
  • DOT Form 224-694 Application for Access Connection Permit - Managed Access Highways Only - Washington, Page 2
Prev 1 2 Next
ADVERTISEMENT