Approval of Architectural Plans and Specifications of a Health Care Institution - Arizona

Approval of Architectural Plans and Specifications of a Health Care Institution - Arizona

Approval of Architectural Plans and Specifications of a Health Care Institution is a legal document that was released by the Arizona Department of Health Services - a government authority operating within Arizona.

FAQ

Q: What is the process for approving architectural plans and specifications of a health care institution in Arizona?
A: In Arizona, the process for approving architectural plans and specifications of a health care institution involves submitting the plans to the Arizona Department of Health Services (ADHS) for review and obtaining their approval.

Q: Who is responsible for approving architectural plans and specifications?
A: The Arizona Department of Health Services (ADHS) is responsible for approving architectural plans and specifications of health care institutions in the state.

Q: Why do architectural plans and specifications need to be approved?
A: Architectural plans and specifications need to be approved to ensure that health care institutions comply with regulations and standards, and to ensure the safety and well-being of patients and staff.

Q: What criteria are considered during the review process?
A: During the review process, the ADHS considers factors such as compliance with applicable building codes, accessibility standards, fire safety measures, and infection control protocols.

Q: How long does the approval process take?
A: The length of the approval process can vary depending on the complexity of the project, but it typically takes several weeks to several months.

Q: What happens if the plans are not approved?
A: If the plans are not approved, the architect may need to make revisions and resubmit them for further review.

Q: Is there a fee for submitting plans for review?
A: Yes, there is typically a fee associated with submitting architectural plans and specifications for review by the ADHS.

Q: Can construction begin before approval?
A: No, construction cannot begin until the architectural plans and specifications have been approved by the ADHS.

Q: Is there an appeal process if the plans are denied?
A: There is an appeal process available if the plans are denied, and the architect can request a hearing to present their case.

Q: Are there any specific requirements for health care institutions in Arizona?
A: Yes, Arizona has specific requirements for health care institutions, including minimum size standards, licensure requirements, and regulations for patient care spaces.

ADVERTISEMENT

Form Details:

  • Released on December 13, 2016;
  • The latest edition currently provided by the Arizona Department of Health Services;
  • Ready to use and print;
  • Easy to customize;
  • Compatible with most PDF-viewing applications;
  • Fill out the form in our online filing application.

Download a fillable version of the form by clicking the link below or browse more documents and templates provided by the Arizona Department of Health Services.

Download Approval of Architectural Plans and Specifications of a Health Care Institution - Arizona

4.8 of 5 (17 votes)
  • Approval of Architectural Plans and Specifications of a Health Care Institution - Arizona

    1

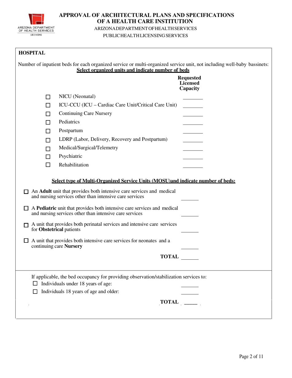
  • Approval of Architectural Plans and Specifications of a Health Care Institution - Arizona, Page 2

    2

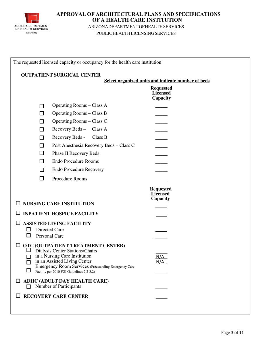
  • Approval of Architectural Plans and Specifications of a Health Care Institution - Arizona, Page 3

    3

  • Approval of Architectural Plans and Specifications of a Health Care Institution - Arizona, Page 4

    4

  • Approval of Architectural Plans and Specifications of a Health Care Institution - Arizona, Page 5

    5

  • Approval of Architectural Plans and Specifications of a Health Care Institution - Arizona, Page 6

    6

  • Approval of Architectural Plans and Specifications of a Health Care Institution - Arizona, Page 7

    7

  • Approval of Architectural Plans and Specifications of a Health Care Institution - Arizona, Page 8

    8

  • Approval of Architectural Plans and Specifications of a Health Care Institution - Arizona, Page 9

    9

  • Approval of Architectural Plans and Specifications of a Health Care Institution - Arizona, Page 10

    10

  • Approval of Architectural Plans and Specifications of a Health Care Institution - Arizona, Page 11

    11

  • Approval of Architectural Plans and Specifications of a Health Care Institution - Arizona, Page 1
  • Approval of Architectural Plans and Specifications of a Health Care Institution - Arizona, Page 2
  • Approval of Architectural Plans and Specifications of a Health Care Institution - Arizona, Page 3
  • Approval of Architectural Plans and Specifications of a Health Care Institution - Arizona, Page 4
  • Approval of Architectural Plans and Specifications of a Health Care Institution - Arizona, Page 5
  • Approval of Architectural Plans and Specifications of a Health Care Institution - Arizona, Page 6
  • Approval of Architectural Plans and Specifications of a Health Care Institution - Arizona, Page 7
  • Approval of Architectural Plans and Specifications of a Health Care Institution - Arizona, Page 8
  • Approval of Architectural Plans and Specifications of a Health Care Institution - Arizona, Page 9
  • Approval of Architectural Plans and Specifications of a Health Care Institution - Arizona, Page 10
  • Approval of Architectural Plans and Specifications of a Health Care Institution - Arizona, Page 11
Prev 1 2 3 4 5 ... 11 Next
ADVERTISEMENT

Related Documents