Prime Contractor Application Cover Letter & Checklist - Georgia (United States)

Prime Contractor Application Cover Letter & Checklist - Georgia (United States)

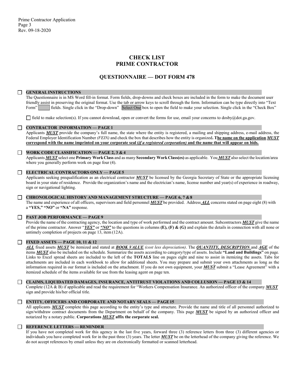
Prime Contractor Application Cover Letter & Checklist is a legal document that was released by the Georgia Department of Transportation - a government authority operating within Georgia (United States).

FAQ

Q: What is a prime contractor application cover letter?
A: A prime contractor application cover letter is a letter that is submitted along with a contractor application to express your interest in becoming a primary contractor for a project.

Q: What is the purpose of a prime contractor application cover letter?
A: The purpose of a prime contractor application cover letter is to introduce yourself, provide a brief overview of your qualifications and experience, and express your interest in the project.

Q: What should be included in a prime contractor application cover letter?
A: A prime contractor application cover letter should include your contact information, a greeting, an introduction, a summary of your qualifications and experience, and a closing statement.

Q: What is a prime contractor application checklist?
A: A prime contractor application checklist is a list of documents and requirements that need to be completed and submitted along with a contractor application.

Q: What is the purpose of a prime contractor application checklist?
A: The purpose of a prime contractor application checklist is to ensure that all necessary documents and requirements are included with the contractor application, and to help streamline the application process.

Q: What should be included in a prime contractor application checklist?
A: A prime contractor application checklist should include items such as completed application forms, proof of insurance, licenses and certifications, references, and any other required documents or forms.

Q: Is a prime contractor application cover letter required?
A: While a prime contractor application cover letter may not always be required, it is generally recommended to include one to make a strong impression and to provide additional information about your qualifications and interest in the project.

ADVERTISEMENT

Form Details:

  • Released on September 18, 2020;
  • The latest edition currently provided by the Georgia Department of Transportation;
  • Ready to use and print;
  • Easy to customize;
  • Compatible with most PDF-viewing applications;
  • Fill out the form in our online filing application.

Download a printable version of the form by clicking the link below or browse more documents and templates provided by the Georgia Department of Transportation.

Download Prime Contractor Application Cover Letter & Checklist - Georgia (United States)

4.5 of 5 (35 votes)
  • Prime Contractor Application Cover Letter & Checklist - Georgia (United States)

    1

  • Prime Contractor Application Cover Letter & Checklist - Georgia (United States), Page 2

    2

  • Prime Contractor Application Cover Letter & Checklist - Georgia (United States), Page 3

    3

  • Prime Contractor Application Cover Letter  Checklist - Georgia (United States), Page 1
  • Prime Contractor Application Cover Letter  Checklist - Georgia (United States), Page 2
  • Prime Contractor Application Cover Letter  Checklist - Georgia (United States), Page 3
Prev 1 2 3 Next
ADVERTISEMENT