Subcontractor Application Cover Letter & Checklist - Georgia (United States)

Subcontractor Application Cover Letter & Checklist - Georgia (United States)

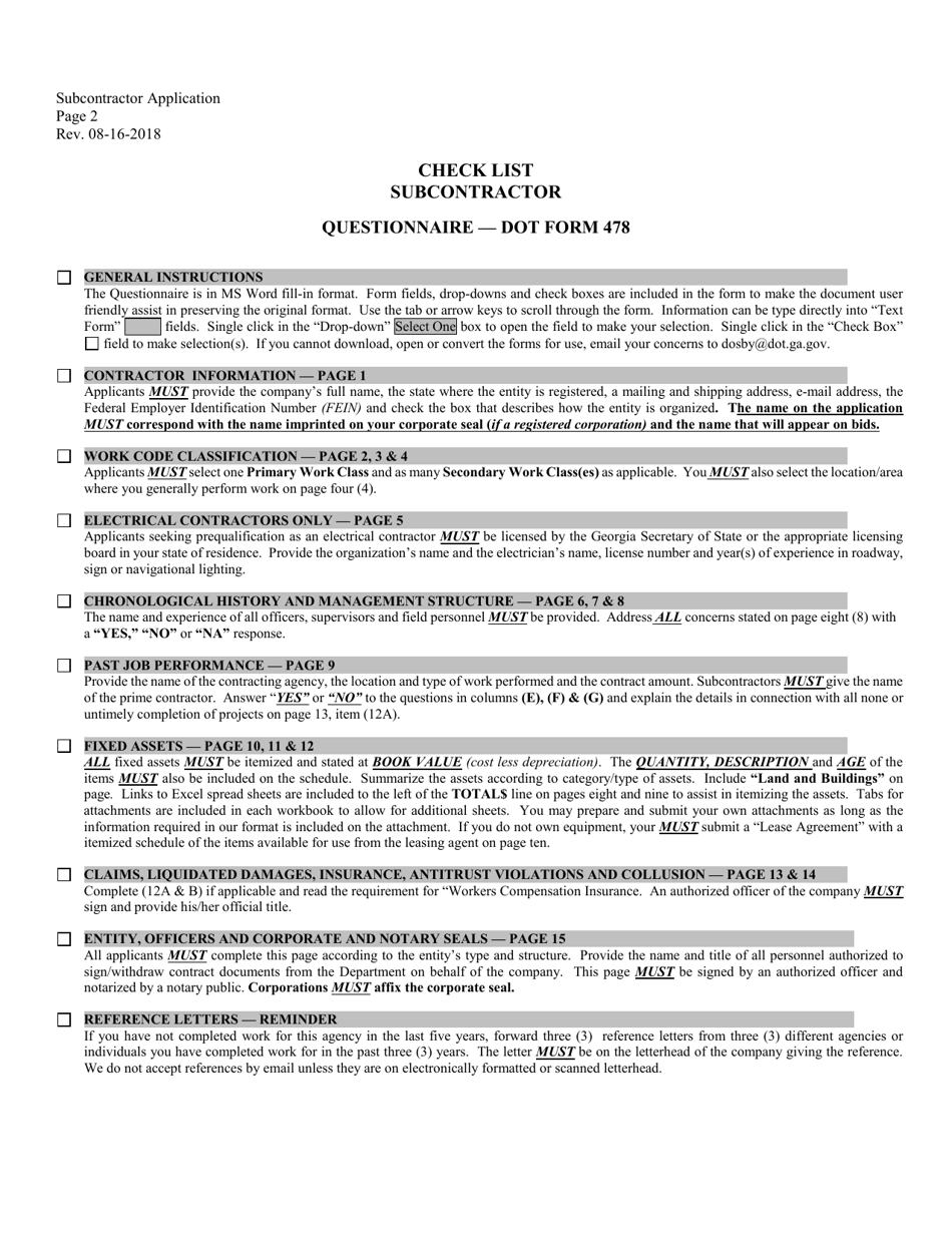
Subcontractor Application Cover Letter & Checklist is a legal document that was released by the Georgia Department of Transportation - a government authority operating within Georgia (United States).

FAQ

Q: What is a subcontractor application cover letter?
A: A subcontractor application cover letter is a document submitted by a subcontractor when applying to work on a project or job.

Q: What is the purpose of a subcontractor application cover letter?
A: The purpose of a subcontractor application cover letter is to introduce the subcontractor to the project or job owner and highlight their qualifications and experience.

Q: What should be included in a subcontractor application cover letter?
A: A subcontractor application cover letter should include details about the subcontractor's background, qualifications, relevant experience, and contact information.

Q: What is a subcontractor application checklist?
A: A subcontractor application checklist is a list of documents and requirements that subcontractors need to fulfill when applying for a project or job.

Q: What is the purpose of a subcontractor application checklist?
A: The purpose of a subcontractor application checklist is to ensure that subcontractors have provided all the necessary information and documents for evaluation.

Q: What might be included in a subcontractor application checklist?
A: A subcontractor application checklist may include items such as completed application forms, proof of insurance, licenses and certifications, references, and financial statements.

Q: Do subcontractors need to submit a cover letter and checklist for each application?
A: Yes, subcontractors should submit a cover letter and checklist for each application they make, as it helps provide a comprehensive overview of their qualifications and ensures compliance with requirements.

ADVERTISEMENT

Form Details:

  • Released on August 16, 2018;
  • The latest edition currently provided by the Georgia Department of Transportation;
  • Ready to use and print;
  • Easy to customize;
  • Compatible with most PDF-viewing applications;
  • Fill out the form in our online filing application.

Download a printable version of the form by clicking the link below or browse more documents and templates provided by the Georgia Department of Transportation.

Download Subcontractor Application Cover Letter & Checklist - Georgia (United States)

4.4 of 5 (15 votes)
  • Subcontractor Application Cover Letter & Checklist - Georgia (United States)

    1

  • Subcontractor Application Cover Letter & Checklist - Georgia (United States), Page 2

    2

  • Subcontractor Application Cover Letter  Checklist - Georgia (United States), Page 1
  • Subcontractor Application Cover Letter  Checklist - Georgia (United States), Page 2
Prev 1 2 Next
ADVERTISEMENT