Form 4530-102A Air Pollution Control Permit Application - Source Description - Supplemental - Wisconsin

Form 4530-102A Air Pollution Control Permit Application - Source Description - Supplemental - Wisconsin

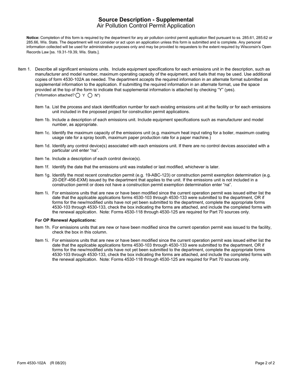
What Is Form 4530-102A?

This is a legal form that was released by the Wisconsin Department of Natural Resources - a government authority operating within Wisconsin. As of today, no separate filing guidelines for the form are provided by the issuing department.

FAQ

Q: What is Form 4530-102A?
A: Form 4530-102A is an application form for an Air Pollution Control Permit in Wisconsin.

Q: What is the purpose of Form 4530-102A?
A: The purpose of Form 4530-102A is to provide a detailed description of the pollution source for which the permit is being sought.

Q: Who needs to fill out Form 4530-102A?
A: Anyone who is applying for an Air Pollution Control Permit in Wisconsin and needs to provide a source description of the pollution source must fill out Form 4530-102A.

Q: What information is required in Form 4530-102A?
A: Form 4530-102A requires detailed information about the pollution source, including its location, emissions control equipment, and operating parameters.

Q: Are there any fees associated with Form 4530-102A?
A: Yes, there are fees associated with the Air Pollution Control Permit application process, including the submission of Form 4530-102A.

Q: Is Form 4530-102A specific to Wisconsin?
A: Yes, Form 4530-102A is specific to the state of Wisconsin and is used for air pollution control permit applications in the state.

Q: How long does it take to process Form 4530-102A?
A: The processing time for Form 4530-102A varies depending on the complexity of the application and the workload of the Wisconsin Department of Natural Resources. It is best to contact the Air Program specialist for an estimated processing time.

Q: Are there any additional documents required along with Form 4530-102A?
A: Depending on the specific circumstances, additional documents may be required to support the air pollution control permit application. It is recommended to review the instructions provided with Form 4530-102A or consult with the Air Program specialist for the complete list of required documents.

ADVERTISEMENT

Form Details:

  • Released on August 1, 2020;
  • The latest edition provided by the Wisconsin Department of Natural Resources;
  • Easy to use and ready to print;
  • Quick to customize;
  • Compatible with most PDF-viewing applications;
  • Fill out the form in our online filing application.

Download a fillable version of Form 4530-102A by clicking the link below or browse more documents and templates provided by the Wisconsin Department of Natural Resources.

Download Form 4530-102A Air Pollution Control Permit Application - Source Description - Supplemental - Wisconsin

4.8 of 5 (8 votes)
  • Form 4530-102A Air Pollution Control Permit Application - Source Description - Supplemental - Wisconsin

    1

  • Form 4530-102A Air Pollution Control Permit Application - Source Description - Supplemental - Wisconsin, Page 2

    2

  • Form 4530-102A Air Pollution Control Permit Application - Source Description - Supplemental - Wisconsin, Page 1
  • Form 4530-102A Air Pollution Control Permit Application - Source Description - Supplemental - Wisconsin, Page 2
Prev 1 2 Next
ADVERTISEMENT

Related Documents