Form CV-404 Injunction - Domestic Abuse - Wisconsin

Notification Icon This version of the form is not currently in use and is provided for reference only. Download this version of Form CV-404 for the current year.

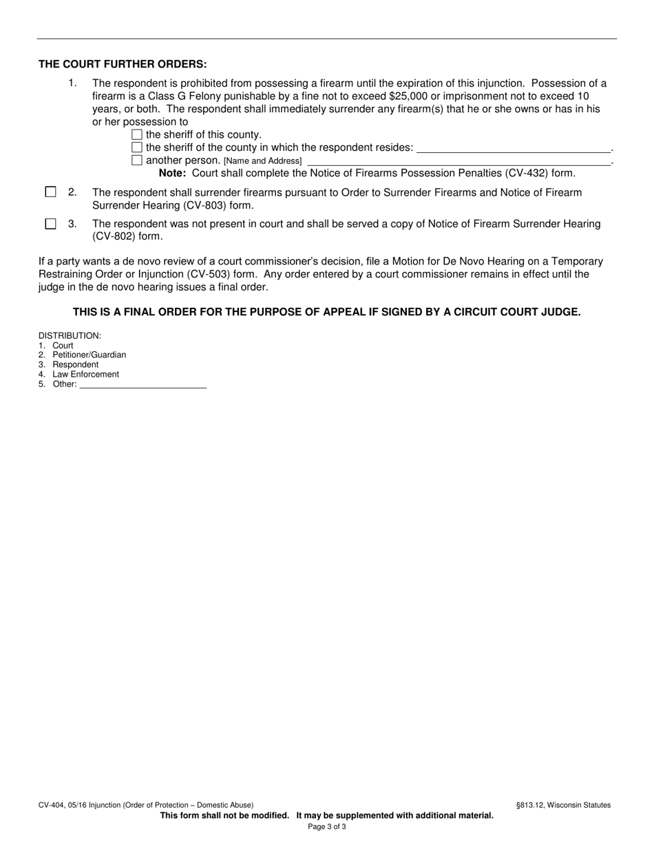
Form CV-404 Injunction - Domestic Abuse - Wisconsin

What Is Form CV-404?

This is a legal form that was released by the Wisconsin Circuit Court - a government authority operating within Wisconsin. As of today, no separate filing guidelines for the form are provided by the issuing department.

FAQ

Q: What is Form CV-404?
A: Form CV-404 is a legal form used in Wisconsin for obtaining an injunction related to domestic abuse.

Q: What is an injunction?
A: An injunction is a court order that restrains or prohibits someone from engaging in certain actions, typically to protect someone from harm or harassment.

Q: What does the Form CV-404 Injunction cover?
A: The Form CV-404 Injunction specifically covers issues related to domestic abuse, such as restraining an abuser from contacting or approaching the victim.

Q: How can I obtain Form CV-404 Injunction?
A: To obtain Form CV-404 Injunction, you will need to contact the appropriate Wisconsin court and file the form. It is advisable to seek legal assistance to understand the process and requirements.

Q: Is this form specific to Wisconsin?
A: Yes, Form CV-404 Injunction is specific to Wisconsin and should be used only in legal matters within the state.

Q: Why would someone file Form CV-404 Injunction?
A: Someone might file Form CV-404 Injunction to seek legal protection and prevent further domestic abuse or harassment from an individual.

Q: Do I need a lawyer to file Form CV-404 Injunction?
A: While it is not mandatory to hire a lawyer, it is recommended to seek legal advice or assistance to ensure your rights are protected and the process is correctly followed.

Q: Can I file the Form CV-404 Injunction on my own?
A: Yes, you can file Form CV-404 Injunction on your own without a lawyer. The court clerk can provide guidance on how to complete and file the form.

Q: If granted, how long does the Form CV-404 Injunction last?
A: The duration of a Form CV-404 Injunction may vary. In some cases, it can be temporary until a hearing, and in others, it can be extended for a longer period of time if necessary.

ADVERTISEMENT

Form Details:

  • Released on May 1, 2016;
  • The latest edition provided by the Wisconsin Circuit Court;
  • Easy to use and ready to print;
  • Available in Spanish;
  • Quick to customize;
  • Compatible with most PDF-viewing applications;
  • Fill out the form in our online filing application.

Download a printable version of Form CV-404 by clicking the link below or browse more documents and templates provided by the Wisconsin Circuit Court.

Download Form CV-404 Injunction - Domestic Abuse - Wisconsin

4.6 of 5 (23 votes)
  • Form CV-404 Injunction - Domestic Abuse - Wisconsin

    1

  • Form CV-404 Injunction - Domestic Abuse - Wisconsin, Page 2

    2

  • Form CV-404 Injunction - Domestic Abuse - Wisconsin, Page 3

    3

  • Form CV-404 Injunction - Domestic Abuse - Wisconsin, Page 1
  • Form CV-404 Injunction - Domestic Abuse - Wisconsin, Page 2
  • Form CV-404 Injunction - Domestic Abuse - Wisconsin, Page 3
Prev 1 2 3 Next
ADVERTISEMENT

Related Documents