Form FA-614 Order Relating to Paternity / Legal Custody / Physical Placement / Visitation / Child Support / Health Care Expenses - Wisconsin

Notification Icon This version of the form is not currently in use and is provided for reference only. Download this version of Form FA-614 for the current year.

Form FA-614 Order Relating to Paternity / Legal Custody / Physical Placement / Visitation / Child Support / Health Care Expenses - Wisconsin

What Is Form FA-614?

This is a legal form that was released by the Wisconsin Circuit Court - a government authority operating within Wisconsin. As of today, no separate filing guidelines for the form are provided by the issuing department.

FAQ

Q: What is Form FA-614?
A: Form FA-614 is an Order Relating to Paternity/Legal Custody/Physical Placement/Visitation/Child Support/Health Care Expenses in Wisconsin.

Q: What does Form FA-614 cover?
A: Form FA-614 covers various aspects related to paternity, legal custody, physical placement, visitation, child support, and health care expenses.

Q: What is the purpose of using Form FA-614?
A: The purpose of using Form FA-614 is to establish or modify orders related to paternity, custody, visitation, child support, and health care expenses in Wisconsin.

Q: Who can use Form FA-614?
A: Form FA-614 can be used by parents, guardians, or other parties involved in paternity, custody, visitation, child support, or health care expense matters in Wisconsin.

ADVERTISEMENT

Form Details:

  • Released on November 1, 2018;
  • The latest edition provided by the Wisconsin Circuit Court;
  • Easy to use and ready to print;
  • Quick to customize;
  • Compatible with most PDF-viewing applications;
  • Fill out the form in our online filing application.

Download a printable version of Form FA-614 by clicking the link below or browse more documents and templates provided by the Wisconsin Circuit Court.

Download Form FA-614 Order Relating to Paternity / Legal Custody / Physical Placement / Visitation / Child Support / Health Care Expenses - Wisconsin

4.4 of 5 (21 votes)
  • Form FA-614 Order Relating to Paternity/Legal Custody/Physical Placement/Visitation/Child Support/Health Care Expenses - Wisconsin

    1

  • Form FA-614 Order Relating to Paternity/Legal Custody/Physical Placement/Visitation/Child Support/Health Care Expenses - Wisconsin, Page 2

    2

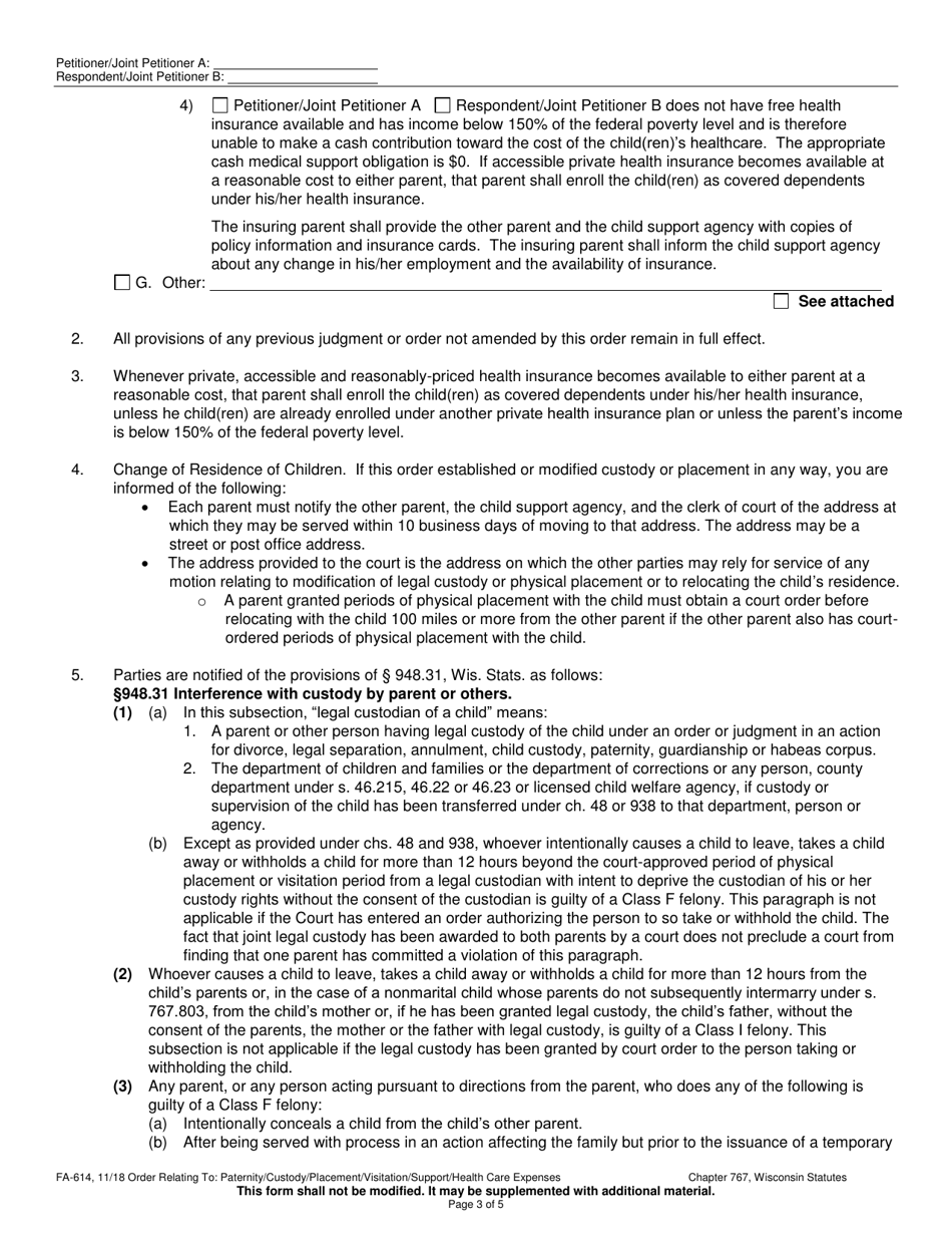
  • Form FA-614 Order Relating to Paternity/Legal Custody/Physical Placement/Visitation/Child Support/Health Care Expenses - Wisconsin, Page 3

    3

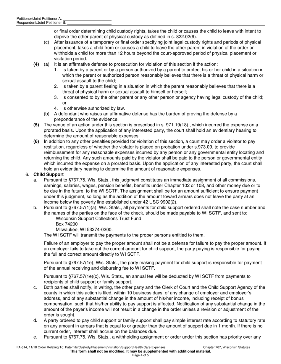
  • Form FA-614 Order Relating to Paternity/Legal Custody/Physical Placement/Visitation/Child Support/Health Care Expenses - Wisconsin, Page 4

    4

  • Form FA-614 Order Relating to Paternity/Legal Custody/Physical Placement/Visitation/Child Support/Health Care Expenses - Wisconsin, Page 5

    5

  • Form FA-614 Order Relating to Paternity / Legal Custody / Physical Placement / Visitation / Child Support / Health Care Expenses - Wisconsin, Page 1
  • Form FA-614 Order Relating to Paternity / Legal Custody / Physical Placement / Visitation / Child Support / Health Care Expenses - Wisconsin, Page 2
  • Form FA-614 Order Relating to Paternity / Legal Custody / Physical Placement / Visitation / Child Support / Health Care Expenses - Wisconsin, Page 3
  • Form FA-614 Order Relating to Paternity / Legal Custody / Physical Placement / Visitation / Child Support / Health Care Expenses - Wisconsin, Page 4
  • Form FA-614 Order Relating to Paternity / Legal Custody / Physical Placement / Visitation / Child Support / Health Care Expenses - Wisconsin, Page 5
Prev 1 2 3 4 5 Next
ADVERTISEMENT

Related Documents