Form 2 Special Education Evaluation Plan and Report - Vermont

Notification Icon This version of the form is not currently in use and is provided for reference only. Download this version of Form 2 for the current year.

Form 2 Special Education Evaluation Plan and Report - Vermont

What Is Form 2?

This is a legal form that was released by the Vermont Agency of Education - a government authority operating within Vermont. Check the official instructions before completing and submitting the form.

FAQ

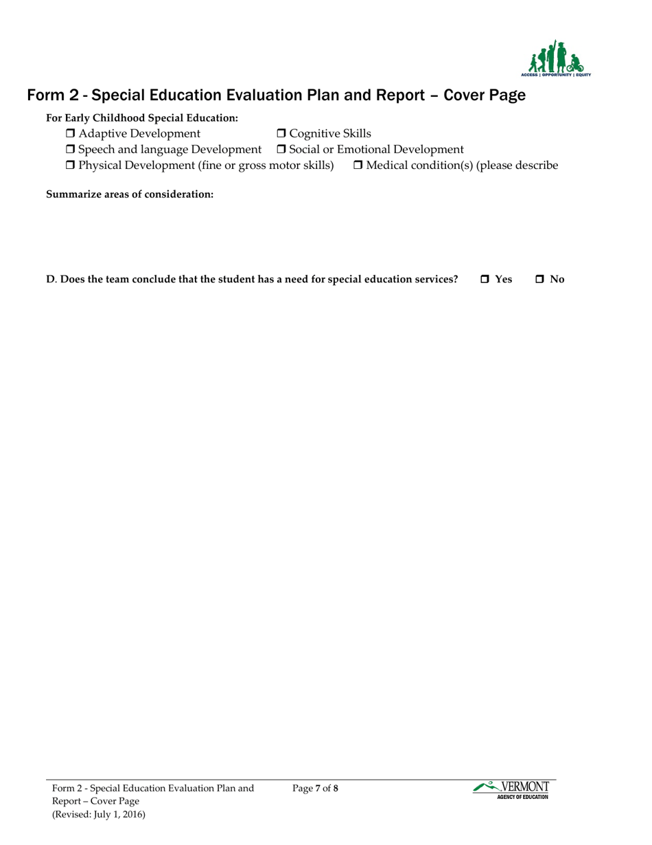
Q: What is a Form 2 Special EducationEvaluation Plan and Report?
A: Form 2 is a document used in Vermont for planning and reporting special education evaluations.

Q: Who is responsible for completing the Form 2?
A: The responsible party for completing Form 2 is the school district where the student attends.

Q: What is the purpose of the Form 2?
A: The purpose of Form 2 is to outline the evaluation plan, gather relevant information, and document the results of the special education evaluation.

Q: What information is included in the Form 2?
A: The Form 2 includes information such as the student's background, reason for referral, evaluation methods and tools, and recommendations for further interventions or services.

Q: Who receives a copy of the completed Form 2?
A: A copy of the completed Form 2 is provided to the student's parent/guardian, the special education director, and other relevant school staff as required.

Q: Is parental consent required for conducting the evaluation?
A: Yes, parental consent is required before conducting any special education evaluation on a student.

Q: What happens after the completion of the Form 2?
A: After the completion of Form 2, the evaluation results are used to determine the student's eligibility for special education services and to develop an Individualized Education Program (IEP).

ADVERTISEMENT

Form Details:

  • Released on July 1, 2016;
  • The latest edition provided by the Vermont Agency of Education;
  • Easy to use and ready to print;
  • Quick to customize;
  • Compatible with most PDF-viewing applications;
  • Fill out the form in our online filing application.

Download a printable version of Form 2 by clicking the link below or browse more documents and templates provided by the Vermont Agency of Education.

Download Form 2 Special Education Evaluation Plan and Report - Vermont

4.6 of 5 (26 votes)
  • Form 2 Special Education Evaluation Plan and Report - Vermont

    1

  • Form 2 Special Education Evaluation Plan and Report - Vermont, Page 2

    2

  • Form 2 Special Education Evaluation Plan and Report - Vermont, Page 3

    3

  • Form 2 Special Education Evaluation Plan and Report - Vermont, Page 4

    4

  • Form 2 Special Education Evaluation Plan and Report - Vermont, Page 5

    5

  • Form 2 Special Education Evaluation Plan and Report - Vermont, Page 6

    6

  • Form 2 Special Education Evaluation Plan and Report - Vermont, Page 7

    7

  • Form 2 Special Education Evaluation Plan and Report - Vermont, Page 8

    8

  • Form 2 Special Education Evaluation Plan and Report - Vermont, Page 1
  • Form 2 Special Education Evaluation Plan and Report - Vermont, Page 2
  • Form 2 Special Education Evaluation Plan and Report - Vermont, Page 3
  • Form 2 Special Education Evaluation Plan and Report - Vermont, Page 4
  • Form 2 Special Education Evaluation Plan and Report - Vermont, Page 5
  • Form 2 Special Education Evaluation Plan and Report - Vermont, Page 6
  • Form 2 Special Education Evaluation Plan and Report - Vermont, Page 7
  • Form 2 Special Education Evaluation Plan and Report - Vermont, Page 8
Prev 1 2 3 4 5 ... 8 Next
ADVERTISEMENT

Related Documents