Form PER1081B Physician's Certification for Family Care Leave - County of Santa Cruz, California

Form PER1081B Physician's Certification for Family Care Leave - County of Santa Cruz, California

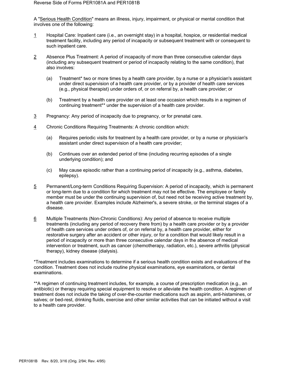
What Is Form PER1081B?

This is a legal form that was released by the Personnel Department - County of Santa Cruz, California - a government authority operating within California. The form may be used strictly within County of Santa Cruz. As of today, no separate filing guidelines for the form are provided by the issuing department.

FAQ

Q: What is PER1081B Physician's Certification for Family Care Leave?
A: PER1081B Physician's Certification for Family Care Leave is a form used in the County of Santa Cruz, California to certify the need for family care leave.

Q: Who can fill out PER1081B Physician's Certification for Family Care Leave?
A: PER1081B Physician's Certification for Family Care Leave can be filled out by a licensed physician or other authorized medical professional.

Q: What is the purpose of PER1081B Physician's Certification for Family Care Leave?
A: The purpose of PER1081B Physician's Certification for Family Care Leave is to provide documentation of the need for family care leave.

Q: Is PER1081B Physician's Certification for Family Care Leave specific to Santa Cruz, California?
A: Yes, PER1081B Physician's Certification for Family Care Leave is specific to the County of Santa Cruz, California.

Q: Can PER1081B Physician's Certification for Family Care Leave be used for any type of family care leave?
A: Yes, PER1081B Physician's Certification for Family Care Leave can be used for any type of family care leave.

Q: Do I need to provide any supporting documentation with PER1081B Physician's Certification for Family Care Leave?
A: Yes, you may be required to provide supporting documentation such as medical records or other evidence of the need for family care leave.

Q: Can I submit a digital copy of PER1081B Physician's Certification for Family Care Leave?
A: The specific requirements for submission may vary, so it is best to consult the official guidelines or contact the relevant authority for more information.

ADVERTISEMENT

Form Details:

  • Released on August 1, 2020;
  • The latest edition provided by the Personnel Department - County of Santa Cruz, California;
  • Easy to use and ready to print;
  • Quick to customize;
  • Compatible with most PDF-viewing applications;
  • Fill out the form in our online filing application.

Download a printable version of Form PER1081B by clicking the link below or browse more documents and templates provided by the Personnel Department - County of Santa Cruz, California.

Download Form PER1081B Physician's Certification for Family Care Leave - County of Santa Cruz, California

4.4 of 5 (7 votes)
  • Form PER1081B Physician's Certification for Family Care Leave - County of Santa Cruz, California

    1

  • Form PER1081B Physician's Certification for Family Care Leave - County of Santa Cruz, California, Page 2

    2

  • Form PER1081B Physicians Certification for Family Care Leave - County of Santa Cruz, California, Page 1
  • Form PER1081B Physicians Certification for Family Care Leave - County of Santa Cruz, California, Page 2
Prev 1 2 Next
ADVERTISEMENT

Related Documents