Form PER1081A Physician's Certification Form - County of Santa Cruz, California

Form PER1081A Physician's Certification Form - County of Santa Cruz, California

What Is Form PER1081A?

This is a legal form that was released by the Personnel Department - County of Santa Cruz, California - a government authority operating within California. The form may be used strictly within County of Santa Cruz. As of today, no separate filing guidelines for the form are provided by the issuing department.

FAQ

Q: What is PER1081A Physician's Certification Form?
A: PER1081A Physician's Certification Form is a document used in the County of Santa Cruz, California.

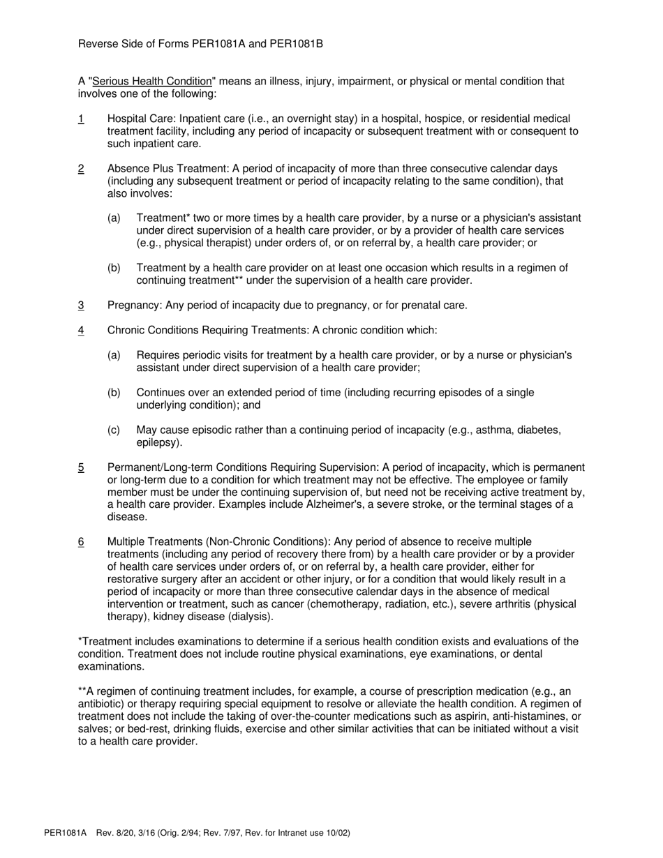
Q: What is the purpose of the PER1081A Physician's Certification Form?
A: The purpose of the PER1081A Physician's Certification Form is to certify a medical condition or disability.

Q: Who needs to fill out the PER1081A Physician's Certification Form?
A: The PER1081A Physician's Certification Form needs to be filled out by a physician or qualified healthcare provider.

Q: What information is required on the PER1081A Physician's Certification Form?
A: The PER1081A Physician's Certification Form requires information about the patient's medical condition or disability, as well as the physician's certification.

Q: What should I do if I have questions about the PER1081A Physician's Certification Form?
A: If you have questions about the PER1081A Physician's Certification Form, it is recommended to contact the appropriate department or healthcare provider for assistance.

ADVERTISEMENT

Form Details:

  • Released on August 1, 2020;
  • The latest edition provided by the Personnel Department - County of Santa Cruz, California;
  • Easy to use and ready to print;
  • Quick to customize;
  • Compatible with most PDF-viewing applications;
  • Fill out the form in our online filing application.

Download a printable version of Form PER1081A by clicking the link below or browse more documents and templates provided by the Personnel Department - County of Santa Cruz, California.

Download Form PER1081A Physician's Certification Form - County of Santa Cruz, California

4.7 of 5 (23 votes)
  • Form PER1081A Physician's Certification Form - County of Santa Cruz, California

    1

  • Form PER1081A Physician's Certification Form - County of Santa Cruz, California, Page 2

    2

  • Form PER1081A Physicians Certification Form - County of Santa Cruz, California, Page 1
  • Form PER1081A Physicians Certification Form - County of Santa Cruz, California, Page 2
Prev 1 2 Next
ADVERTISEMENT

Related Documents