Encroachment Permit Application - City of San Juan Bautista, California

Encroachment Permit Application - City of San Juan Bautista, California

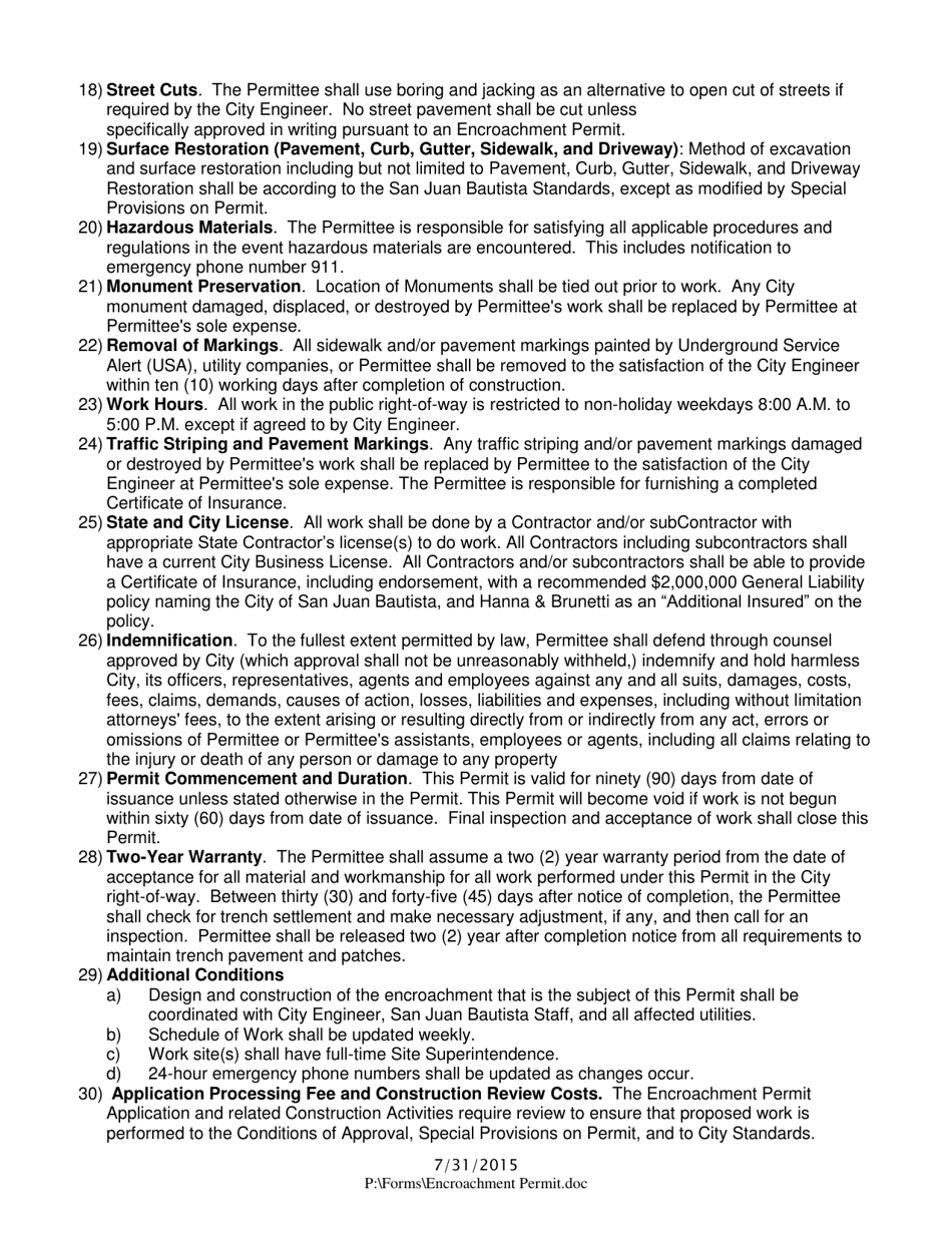
Encroachment Permit Application is a legal document that was released by the Public Works Department - City of San Juan Bautista, California - a government authority operating within California. The form may be used strictly within City of San Juan Bautista.

FAQ

Q: What is an encroachment permit application?
A: An encroachment permit application is a request for permission to make changes or modifications to public property or right-of-way.

Q: What is the purpose of an encroachment permit application?
A: The purpose of an encroachment permit application is to ensure that any modifications to public property or right-of-way comply with local regulations and do not pose a safety or liability risk.

Q: Who needs to submit an encroachment permit application?
A: Anyone planning to make changes or modifications to the public property or right-of-way in San Juan Bautista, California, needs to submit an encroachment permit application.

Q: What information is required in an encroachment permit application?
A: An encroachment permit application typically requires information about the proposed modifications, project details, insurance coverage, and any applicable fees.

Q: How long does it take to process an encroachment permit application?
A: The processing time for an encroachment permit application in San Juan Bautista, California, may vary depending on the complexity of the project and the workload of the city's permitting department.

Q: Are there any fees associated with an encroachment permit application?
A: Yes, there may be fees associated with an encroachment permit application in San Juan Bautista, California. The specific fees will depend on the nature and scope of the proposed modifications.

Q: Can a permit be denied?
A: Yes, a permit can be denied if the proposed modifications do not comply with local regulations, pose a safety risk, or create a liability concern.

Q: What happens after an encroachment permit application is approved?
A: After an encroachment permit application is approved, the applicant can proceed with the proposed modifications, following any conditions or requirements specified in the permit.

ADVERTISEMENT

Form Details:

  • Released on July 31, 2015;
  • The latest edition currently provided by the Public Works Department - City of San Juan Bautista, California;
  • Ready to use and print;
  • Easy to customize;
  • Compatible with most PDF-viewing applications;
  • Fill out the form in our online filing application.

Download a printable version of the form by clicking the link below or browse more documents and templates provided by the Public Works Department - City of San Juan Bautista, California.

Download Encroachment Permit Application - City of San Juan Bautista, California

4.3 of 5 (27 votes)
  • Encroachment Permit Application - City of San Juan Bautista, California

    1

  • Encroachment Permit Application - City of San Juan Bautista, California, Page 2

    2

  • Encroachment Permit Application - City of San Juan Bautista, California, Page 3

    3

  • Encroachment Permit Application - City of San Juan Bautista, California, Page 4

    4

  • Encroachment Permit Application - City of San Juan Bautista, California, Page 5

    5

  • Encroachment Permit Application - City of San Juan Bautista, California, Page 1
  • Encroachment Permit Application - City of San Juan Bautista, California, Page 2
  • Encroachment Permit Application - City of San Juan Bautista, California, Page 3
  • Encroachment Permit Application - City of San Juan Bautista, California, Page 4
  • Encroachment Permit Application - City of San Juan Bautista, California, Page 5
Prev 1 2 3 4 5 Next
ADVERTISEMENT

Related Documents