Preliminary Development Plan Application - City of Rancho Mirage, California

Preliminary Development Plan Application - City of Rancho Mirage, California

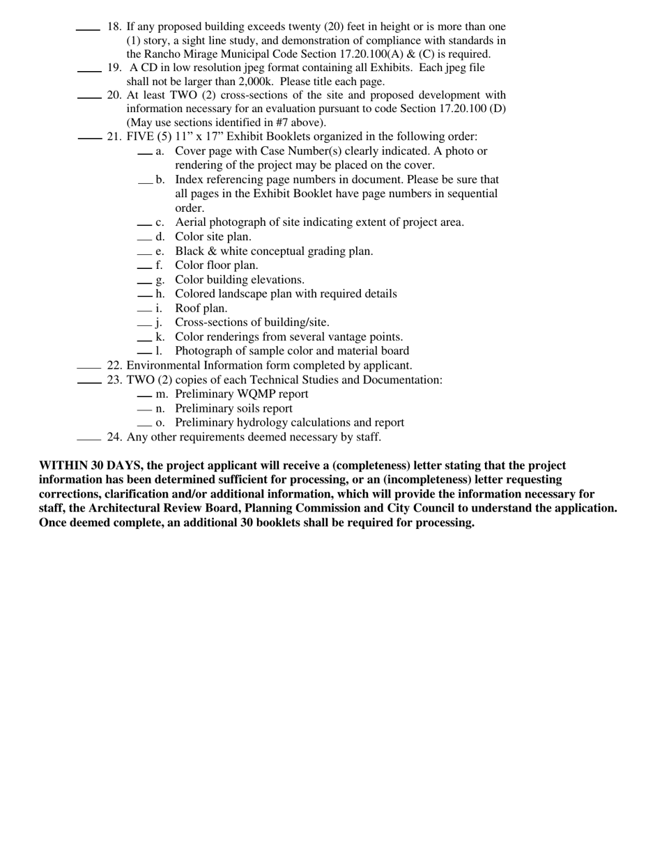
Preliminary Development Plan Application is a legal document that was released by the Development Services Department - City of Rancho Mirage, California - a government authority operating within California. The form may be used strictly within City of Rancho Mirage.

FAQ

Q: What is a Preliminary Development Plan Application?
A: A Preliminary Development Plan Application is a formal request made to the City of Rancho Mirage, California for approval of a proposed development project.

Q: Who can submit a Preliminary Development Plan Application?
A: Anyone, including individuals, businesses, or organizations, can submit a Preliminary Development Plan Application.

Q: What is the purpose of a Preliminary Development Plan Application?
A: The purpose of a Preliminary Development Plan Application is to obtain approval from the City of Rancho Mirage for a proposed development project.

Q: What information is required in a Preliminary Development Plan Application?
A: A Preliminary Development Plan Application typically requires detailed information about the proposed development project, including site plans, architectural drawings, and environmental impact assessments.

Q: What happens after a Preliminary Development Plan Application is submitted?
A: After a Preliminary Development Plan Application is submitted, it is reviewed by the City of Rancho Mirage's planning department and other relevant agencies. Public hearings may also be held to gather input from the community.

Q: Is approval of a Preliminary Development Plan Application guaranteed?
A: No, approval of a Preliminary Development Plan Application is not guaranteed. It is subject to review, and the City of Rancho Mirage may require modifications or deny the application if it does not meet the city's requirements or regulations.

Q: Are there any fees associated with submitting a Preliminary Development Plan Application?
A: Yes, there are usually fees associated with submitting a Preliminary Development Plan Application. These fees help cover the cost of reviewing and processing the application.

ADVERTISEMENT

Form Details:

  • Released on January 1, 2017;
  • The latest edition currently provided by the Development Services Department - City of Rancho Mirage, California;
  • Ready to use and print;
  • Easy to customize;
  • Compatible with most PDF-viewing applications;
  • Fill out the form in our online filing application.

Download a printable version of the form by clicking the link below or browse more documents and templates provided by the Development Services Department - City of Rancho Mirage, California.

Download Preliminary Development Plan Application - City of Rancho Mirage, California

4.3 of 5 (34 votes)
  • Preliminary Development Plan Application - City of Rancho Mirage, California

    1

  • Preliminary Development Plan Application - City of Rancho Mirage, California, Page 2

    2

  • Preliminary Development Plan Application - City of Rancho Mirage, California, Page 3

    3

  • Preliminary Development Plan Application - City of Rancho Mirage, California, Page 1
  • Preliminary Development Plan Application - City of Rancho Mirage, California, Page 2
  • Preliminary Development Plan Application - City of Rancho Mirage, California, Page 3
Prev 1 2 3 Next
ADVERTISEMENT

Related Documents