Tentative Tract / Parcel Map Application - City of Rancho Mirage, California

Tentative Tract / Parcel Map Application - City of Rancho Mirage, California

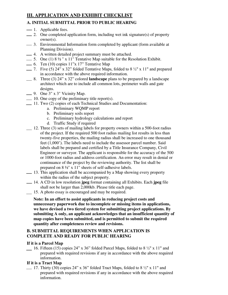
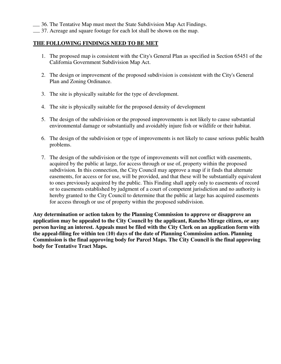
Tentative Tract/Parcel Map Application is a legal document that was released by the Development Services Department - City of Rancho Mirage, California - a government authority operating within California. The form may be used strictly within City of Rancho Mirage.

FAQ

Q: What is a Tentative Tract/Parcel Map Application?
A: A Tentative Tract/Parcel Map Application is a request made to the City of Rancho Mirage, California for the subdivision of land into multiple parcels.

Q: What is the purpose of a Tentative Tract/Parcel Map Application?
A: The purpose of a Tentative Tract/Parcel Map Application is to obtain approval from the City for the proposed subdivision of land.

Q: Who can submit a Tentative Tract/Parcel Map Application?
A: Any property owner, developer, or authorized agent can submit a Tentative Tract/Parcel Map Application.

Q: What does the Tentative Tract/Parcel Map Application process involve?
A: The process involves submitting the application form, preparing required documents, paying fees, and undergoing review and approval by the City's Planning Department.

Q: What documents are required for a Tentative Tract/Parcel Map Application?
A: The required documents may include a legal description of the property, a site plan, a tentative map, environmental review documents, and other supporting materials.

Q: What fees are associated with a Tentative Tract/Parcel Map Application?
A: The fees for a Tentative Tract/Parcel Map Application vary depending on the number of proposed parcels and the size of the project.

Q: How long does it take to process a Tentative Tract/Parcel Map Application?
A: The processing time can vary, but it typically takes several months for the City to review and make a decision on a Tentative Tract/Parcel Map Application.

Q: What happens after a Tentative Tract/Parcel Map Application is approved?
A: After approval, the applicant can proceed with the final engineering of the subdivision and may need to obtain additional permits and approvals before the final map is recorded.

Q: What happens if a Tentative Tract/Parcel Map Application is denied?
A: If the application is denied, the applicant has the option to appeal the decision or make revisions to address the reasons for denial.

ADVERTISEMENT

Form Details:

  • Released on January 1, 2017;
  • The latest edition currently provided by the Development Services Department - City of Rancho Mirage, California;
  • Ready to use and print;
  • Easy to customize;
  • Compatible with most PDF-viewing applications;
  • Fill out the form in our online filing application.

Download a printable version of the form by clicking the link below or browse more documents and templates provided by the Development Services Department - City of Rancho Mirage, California.

Download Tentative Tract / Parcel Map Application - City of Rancho Mirage, California

4.3 of 5 (27 votes)
  • Tentative Tract/Parcel Map Application - City of Rancho Mirage, California

    1

  • Tentative Tract/Parcel Map Application - City of Rancho Mirage, California, Page 2

    2

  • Tentative Tract/Parcel Map Application - City of Rancho Mirage, California, Page 3

    3

  • Tentative Tract/Parcel Map Application - City of Rancho Mirage, California, Page 4

    4

  • Tentative Tract/Parcel Map Application - City of Rancho Mirage, California, Page 5

    5

  • Tentative Tract / Parcel Map Application - City of Rancho Mirage, California, Page 1
  • Tentative Tract / Parcel Map Application - City of Rancho Mirage, California, Page 2
  • Tentative Tract / Parcel Map Application - City of Rancho Mirage, California, Page 3
  • Tentative Tract / Parcel Map Application - City of Rancho Mirage, California, Page 4
  • Tentative Tract / Parcel Map Application - City of Rancho Mirage, California, Page 5
Prev 1 2 3 4 5 Next
ADVERTISEMENT

Related Documents