Major Variance Application - City of Rancho Mirage, California

Major Variance Application - City of Rancho Mirage, California

Major Variance Application is a legal document that was released by the Development Services Department - City of Rancho Mirage, California - a government authority operating within California. The form may be used strictly within City of Rancho Mirage.

FAQ

Q: What is a Major Variance Application?
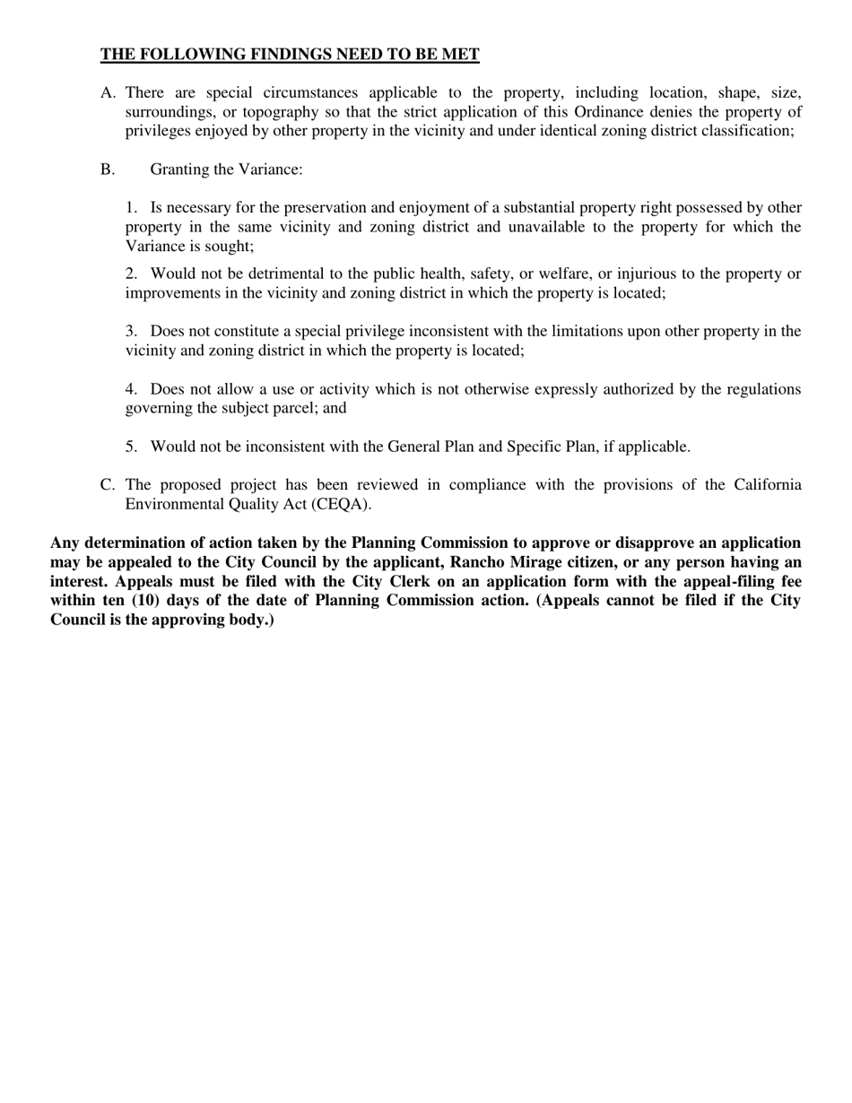
A: A Major Variance Application is a request made to the City of Rancho Mirage, California to deviate from certain zoning or development regulations.

Q: What is the purpose of a Major Variance Application?
A: The purpose of a Major Variance Application is to allow property owners or developers to seek exceptions to the standard rules and requirements for their property.

Q: Who can submit a Major Variance Application?
A: Property owners or developers can submit a Major Variance Application.

Q: What are some reasons why someone might submit a Major Variance Application?
A: Some reasons for submitting a Major Variance Application include the desire to build a structure that exceeds the maximum height allowed, increase the floor area ratio, or reduce setbacks from property lines.

Q: How can I submit a Major Variance Application?
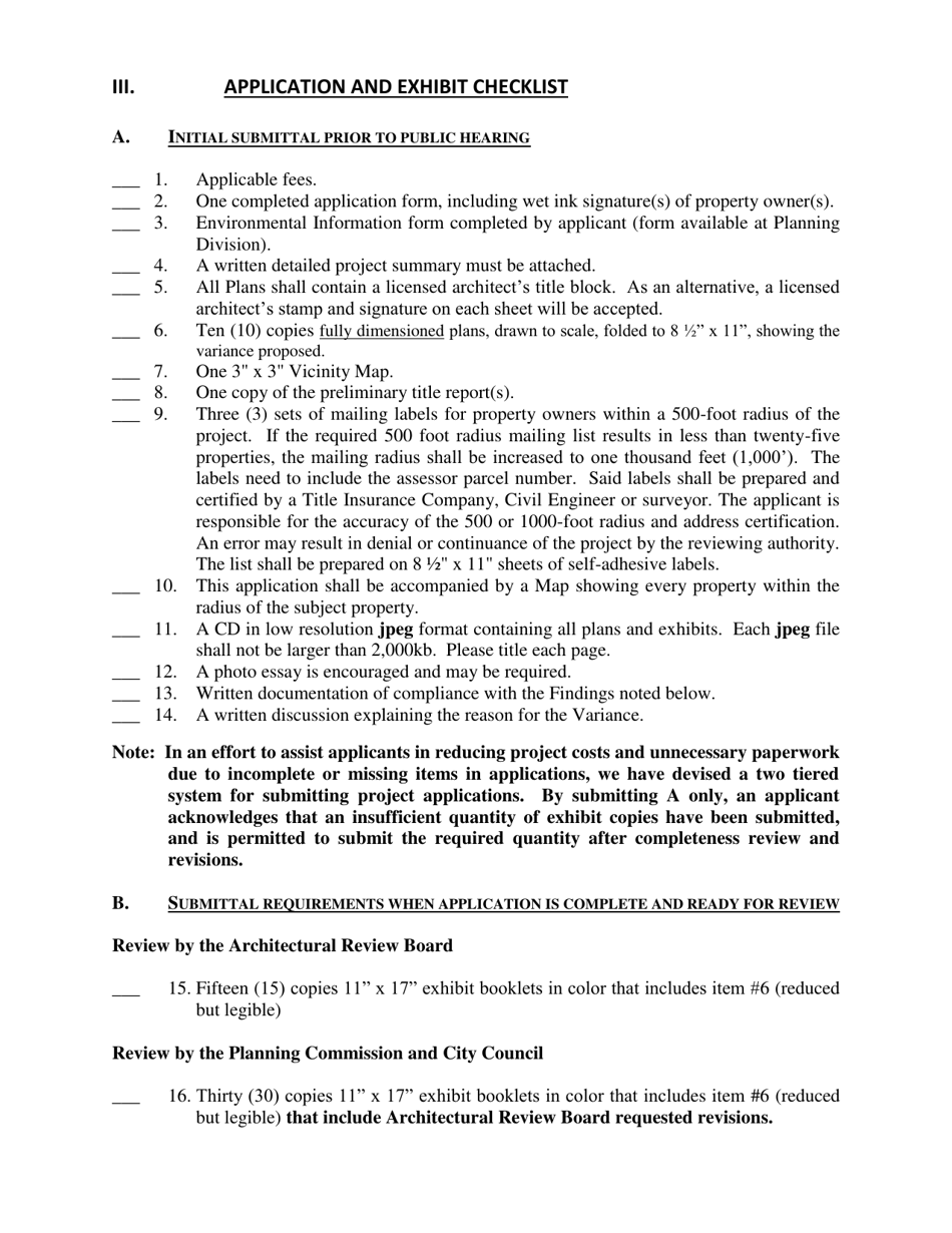
A: To submit a Major Variance Application, you will need to complete the necessary application form and provide all required documents and fees. You can submit the application to the City of Rancho Mirage's Planning Department.

Q: What is the review process for a Major Variance Application?
A: The review process for a Major Variance Application typically involves a review by the Planning Department staff, a public hearing before the Planning Commission, and a final decision by the City Council.

Q: How long does it take to process a Major Variance Application?
A: The processing time for a Major Variance Application can vary depending on the complexity of the request and the workload of the Planning Department. It is best to contact the Planning Department for an estimate of the processing time.

Q: What happens if my Major Variance Application is approved?
A: If your Major Variance Application is approved, you will be granted the requested exceptions to the zoning or development regulations.

Q: What happens if my Major Variance Application is denied?
A: If your Major Variance Application is denied, you will not be granted the requested exceptions to the zoning or development regulations. You may have the option to appeal the decision.

Q: Are there any fees associated with a Major Variance Application?
A: Yes, there are fees associated with a Major Variance Application. The specific fees can vary depending on the nature and scale of the request. You will need to contact the City of Rancho Mirage's Planning Department for the current fee schedule.

ADVERTISEMENT

Form Details:

  • The latest edition currently provided by the Development Services Department - City of Rancho Mirage, California;
  • Ready to use and print;
  • Easy to customize;
  • Compatible with most PDF-viewing applications;
  • Fill out the form in our online filing application.

Download a printable version of the form by clicking the link below or browse more documents and templates provided by the Development Services Department - City of Rancho Mirage, California.

Download Major Variance Application - City of Rancho Mirage, California

4.4 of 5 (20 votes)
  • Major Variance Application - City of Rancho Mirage, California

    1

  • Major Variance Application - City of Rancho Mirage, California, Page 2

    2

  • Major Variance Application - City of Rancho Mirage, California, Page 3

    3

  • Major Variance Application - City of Rancho Mirage, California, Page 4

    4

  • Major Variance Application - City of Rancho Mirage, California, Page 1
  • Major Variance Application - City of Rancho Mirage, California, Page 2
  • Major Variance Application - City of Rancho Mirage, California, Page 3
  • Major Variance Application - City of Rancho Mirage, California, Page 4
Prev 1 2 3 4 Next
ADVERTISEMENT

Related Documents