First Amendment Parade Permit Application - Haltom City, Texas

First Amendment Parade Permit Application - Haltom City, Texas

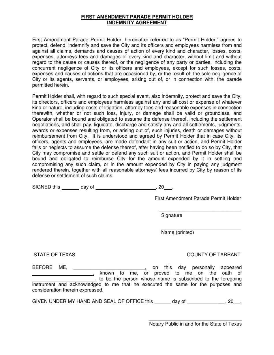
First Amendment Parade Permit Application is a legal document that was released by the Police Department - Haltom City, Texas - a government authority operating within Texas. The form may be used strictly within Haltom City.

FAQ

Q: What is the First Amendment Parade Permit Application?
A: The First Amendment Parade Permit Application is a document used to request permission to hold a parade or demonstration in Haltom City, Texas.

Q: Who needs to fill out the First Amendment Parade Permit Application?
A: Any individual or group planning to hold a parade or demonstration in Haltom City, Texas needs to fill out the First Amendment Parade Permit Application.

Q: What information is required in the First Amendment Parade Permit Application?
A: The First Amendment Parade Permit Application will typically require information about the event, including the date, time, location, and purpose of the parade or demonstration, as well as contact information for the applicant.

Q: Are there any fees associated with the First Amendment Parade Permit Application?
A: There may be fees associated with the First Amendment Parade Permit Application, such as application fees or fees for additional services required for the event. These fees can vary depending on the specific requirements of Haltom City, Texas.

Q: Is the First Amendment Parade Permit Application guaranteed to be approved?
A: The approval of the First Amendment Parade Permit Application is subject to review and verification by the relevant authorities in Haltom City, Texas. Approval is not guaranteed and can be influenced by factors such as public safety concerns.

ADVERTISEMENT

Form Details:

  • The latest edition currently provided by the Police Department - Haltom City, Texas;
  • Ready to use and print;
  • Easy to customize;
  • Compatible with most PDF-viewing applications;
  • Fill out the form in our online filing application.

Download a printable version of the form by clicking the link below or browse more documents and templates provided by the Police Department - Haltom City, Texas.

Download First Amendment Parade Permit Application - Haltom City, Texas

4.4 of 5 (10 votes)
  • First Amendment Parade Permit Application - Haltom City, Texas

    1

  • First Amendment Parade Permit Application - Haltom City, Texas, Page 2

    2

  • First Amendment Parade Permit Application - Haltom City, Texas, Page 3

    3

  • First Amendment Parade Permit Application - Haltom City, Texas, Page 1
  • First Amendment Parade Permit Application - Haltom City, Texas, Page 2
  • First Amendment Parade Permit Application - Haltom City, Texas, Page 3
Prev 1 2 3 Next
ADVERTISEMENT

Related Documents