Form AOPC312-05 Notice of Appeal From Magisterial District Judge Judgment - Pennsylvania (English / Polish)

Form AOPC312-05 Notice of Appeal From Magisterial District Judge Judgment - Pennsylvania (English / Polish)

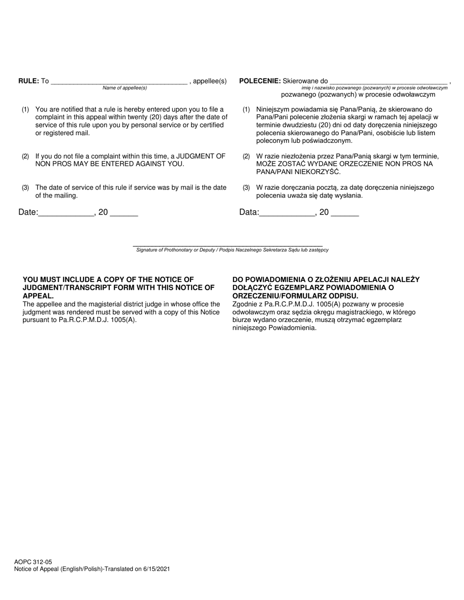
What Is Form AOPC312-05?

This is a legal form that was released by the Pennsylvania Court of Common Pleas - a government authority operating within Pennsylvania. As of today, no separate filing guidelines for the form are provided by the issuing department.

FAQ

Q: What is the AOPC312-05 Form?
A: The AOPC312-05 form is a Notice of Appeal from Magisterial District Judge Judgment in Pennsylvania.

Q: What is the purpose of the form?
A: The form is used to appeal a judgment made by a Magisterial District Judge.

Q: Who uses the AOPC312-05 form?
A: Anyone who wishes to appeal a judgment made by a Magisterial District Judge in Pennsylvania can use this form.

Q: Is the form available in multiple languages?
A: Yes, the AOPC312-05 form is available in English and Polish languages.

Q: What information is required in the form?
A: The form requires information such as the case number, date of judgment, reason for appeal, and the desired outcome.

Q: Are there any fees associated with filing the form?
A: Yes, there may be filing fees associated with the appeal. It is recommended to check with the court for the current fee schedule.

Q: Is there a deadline for filing the form?
A: Yes, there is a deadline for filing the form. It is important to file the Notice of Appeal within 30 days of the judgment date.

Q: What happens after filing the form?
A: After filing the form, the case will be reviewed by a higher court, and a new hearing or review of the judgment may be scheduled.

Q: Can I hire an attorney to assist with the appeal?
A: Yes, you have the right to hire an attorney to assist you with the appeal process.

ADVERTISEMENT

Form Details:

  • Released on June 15, 2021;
  • The latest edition provided by the Pennsylvania Court of Common Pleas;
  • Easy to use and ready to print;
  • Available in Spanish;
  • Quick to customize;
  • Compatible with most PDF-viewing applications;
  • Fill out the form in our online filing application.

Download a fillable version of Form AOPC312-05 by clicking the link below or browse more documents and templates provided by the Pennsylvania Court of Common Pleas.

Download Form AOPC312-05 Notice of Appeal From Magisterial District Judge Judgment - Pennsylvania (English / Polish)

4.8 of 5 (30 votes)
  • Form AOPC312-05 Notice of Appeal From Magisterial District Judge Judgment - Pennsylvania (English/Polish)

    1

  • Form AOPC312-05 Notice of Appeal From Magisterial District Judge Judgment - Pennsylvania (English/Polish), Page 2

    2

  • Form AOPC312-05 Notice of Appeal From Magisterial District Judge Judgment - Pennsylvania (English/Polish), Page 3

    3

  • Form AOPC312-05 Notice of Appeal From Magisterial District Judge Judgment - Pennsylvania (English / Polish), Page 1
  • Form AOPC312-05 Notice of Appeal From Magisterial District Judge Judgment - Pennsylvania (English / Polish), Page 2
  • Form AOPC312-05 Notice of Appeal From Magisterial District Judge Judgment - Pennsylvania (English / Polish), Page 3
Prev 1 2 3 Next
ADVERTISEMENT

Related Documents