Form FAM001 Rejection - Judgment Sheet - Non-parentage - County of Los Angeles, California

Notification Icon This version of the form is not currently in use and is provided for reference only. Download this version of Form FAM001 for the current year.

Form FAM001 Rejection - Judgment Sheet - Non-parentage - County of Los Angeles, California

What Is Form FAM001?

This is a legal form that was released by the Superior Court - County of Los Angeles, California - a government authority operating within California. The form may be used strictly within County of Los Angeles. As of today, no separate filing guidelines for the form are provided by the issuing department.

FAQ

Q: What is Form FAM001?
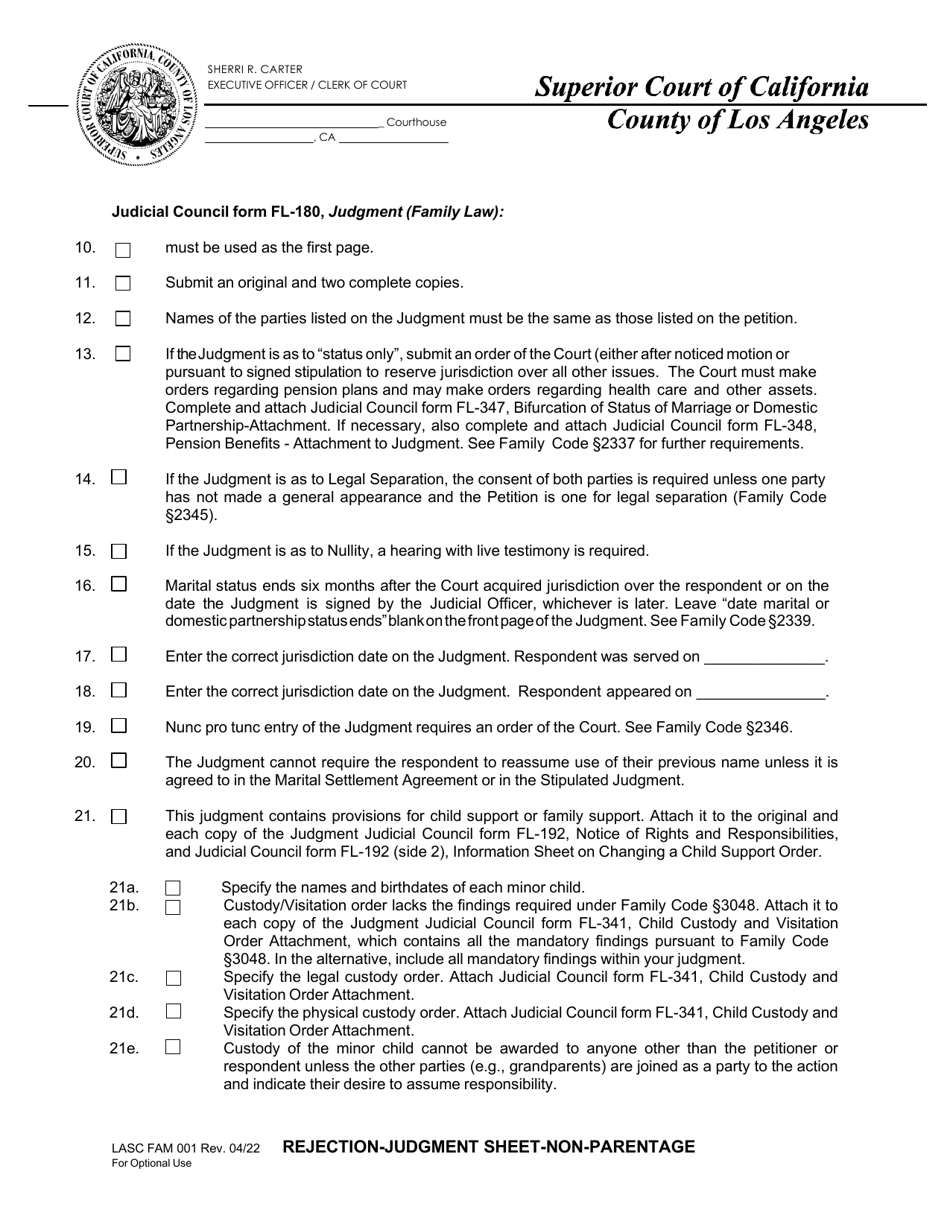
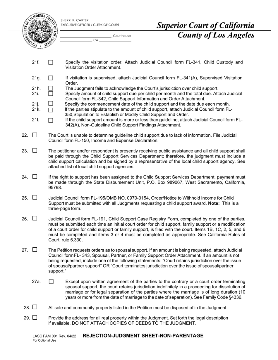
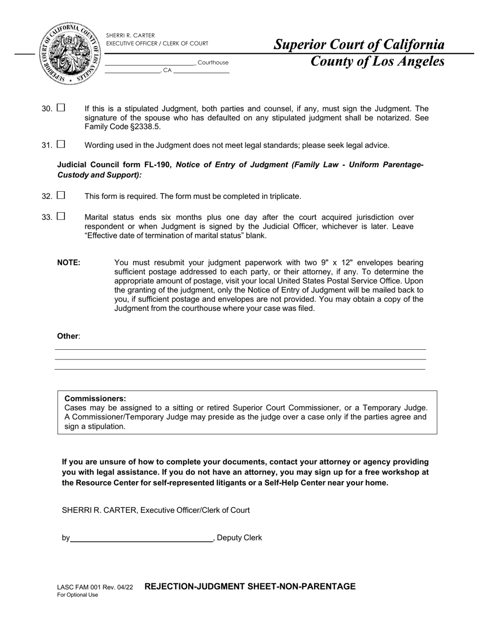
A: Form FAM001 is a rejection judgment sheet for non-parentage cases in Los Angeles County, California.

Q: What is a rejection judgment sheet?
A: A rejection judgment sheet is a document that indicates that a request or application has been denied.

Q: What does non-parentage mean?
A: Non-parentage refers to cases where someone is found not to be the biological or legal parent of a child.

Q: What does the rejection judgment sheet indicate?
A: The rejection judgment sheet indicates that a request or application related to non-parentage has been denied in Los Angeles County, California.

ADVERTISEMENT

Form Details:

  • Released on April 1, 2022;
  • The latest edition provided by the Superior Court - County of Los Angeles, California;
  • Easy to use and ready to print;
  • Quick to customize;
  • Compatible with most PDF-viewing applications;
  • Fill out the form in our online filing application.

Download a fillable version of Form FAM001 by clicking the link below or browse more documents and templates provided by the Superior Court - County of Los Angeles, California.

Download Form FAM001 Rejection - Judgment Sheet - Non-parentage - County of Los Angeles, California

4.6 of 5 (7 votes)
  • Form FAM001 Rejection - Judgment Sheet - Non-parentage - County of Los Angeles, California

    1

  • Form FAM001 Rejection - Judgment Sheet - Non-parentage - County of Los Angeles, California, Page 2

    2

  • Form FAM001 Rejection - Judgment Sheet - Non-parentage - County of Los Angeles, California, Page 3

    3

  • Form FAM001 Rejection - Judgment Sheet - Non-parentage - County of Los Angeles, California, Page 4

    4

  • Form FAM001 Rejection - Judgment Sheet - Non-parentage - County of Los Angeles, California, Page 1
  • Form FAM001 Rejection - Judgment Sheet - Non-parentage - County of Los Angeles, California, Page 2
  • Form FAM001 Rejection - Judgment Sheet - Non-parentage - County of Los Angeles, California, Page 3
  • Form FAM001 Rejection - Judgment Sheet - Non-parentage - County of Los Angeles, California, Page 4
Prev 1 2 3 4 Next
ADVERTISEMENT