Island Park Tournatment Field Rental Agreement - City of Adrian, Michigan

Island Park Tournatment Field Rental Agreement - City of Adrian, Michigan

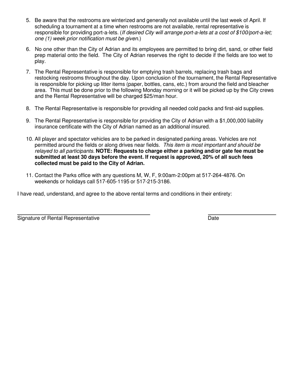
Island Park Tournatment Field Rental Agreement is a legal document that was released by the Parks and Forestry Department - City of Adrian, Michigan - a government authority operating within Michigan. The form may be used strictly within City of Adrian.

FAQ

Q: What is the Island Park Tournament Field Rental Agreement?
A: The Island Park Tournament Field Rental Agreement is an agreement between the City of Adrian, Michigan and individuals or organizations who wish to rent the tournament field at Island Park.

Q: What is the purpose of renting the tournament field at Island Park?
A: The purpose of renting the tournament field at Island Park is to hold sports tournaments or events.

Q: Who can rent the tournament field at Island Park?
A: Individuals or organizations can rent the tournament field at Island Park.

Q: What are the terms and conditions of the rental agreement?
A: The terms and conditions of the rental agreement include rental fees, usage restrictions, and liability responsibilities.

ADVERTISEMENT

Form Details:

  • The latest edition currently provided by the Parks and Forestry Department - City of Adrian, Michigan;
  • Ready to use and print;
  • Easy to customize;
  • Compatible with most PDF-viewing applications;
  • Fill out the form in our online filing application.

Download a printable version of the form by clicking the link below or browse more documents and templates provided by the Parks and Forestry Department - City of Adrian, Michigan.

Download Island Park Tournatment Field Rental Agreement - City of Adrian, Michigan

4.4 of 5 (19 votes)
  • Island Park Tournatment Field Rental Agreement - City of Adrian, Michigan

    1

  • Island Park Tournatment Field Rental Agreement - City of Adrian, Michigan, Page 2

    2

  • Island Park Tournatment Field Rental Agreement - City of Adrian, Michigan, Page 1
  • Island Park Tournatment Field Rental Agreement - City of Adrian, Michigan, Page 2
Prev 1 2 Next
ADVERTISEMENT