Dust Control Permit Application for Demolition Activities or Earthworks - City of Philadelphia, Pennsylvania

Dust Control Permit Application for Demolition Activities or Earthworks - City of Philadelphia, Pennsylvania

Dust Control Permit Application for Demolition Activities or Earthworks is a legal document that was released by the Department of Public Health - City of Philadelphia, Pennsylvania - a government authority operating within Pennsylvania. The form may be used strictly within City of Philadelphia.

FAQ

Q: What is a dust control permit?
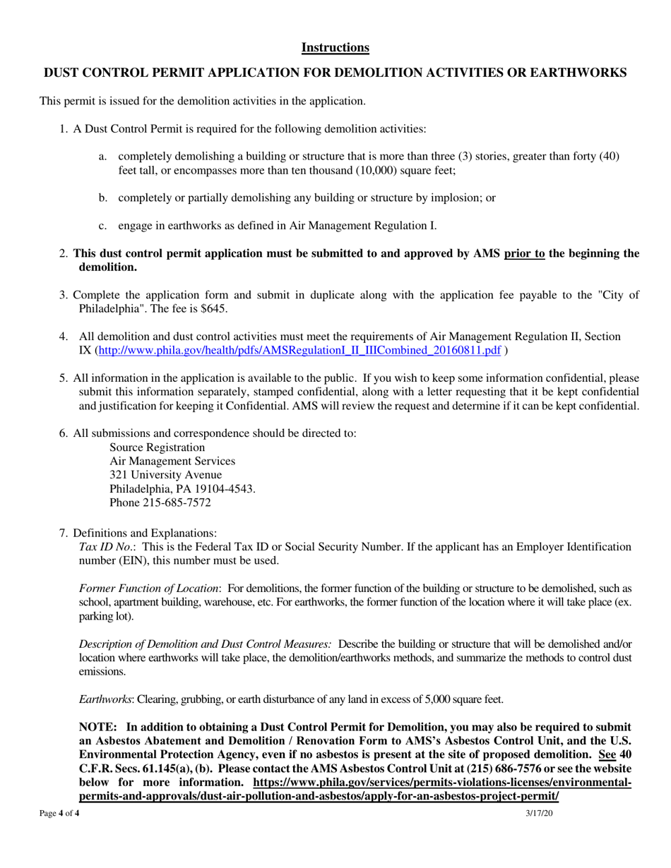
A: A dust control permit is a requirement for demolition activities or earthworks in the City of Philadelphia, Pennsylvania.

Q: Why do I need a dust control permit?
A: You need a dust control permit to ensure that proper measures are taken to control dust emissions during demolition activities or earthworks.

Q: How do I apply for a dust control permit?
A: To apply for a dust control permit, you can obtain an application from the City of Philadelphia and submit it with the required documents and fees.

Q: What documents are required for a dust control permit application?
A: The required documents for a dust control permit application may include a project description, site plan, erosion control plan, and proof of insurance, among others.

Q: How much does a dust control permit cost?
A: The cost of a dust control permit may vary. You can contact the City of Philadelphia for detailed information about the fees.

Q: How long does it take to process a dust control permit application?
A: The processing time for a dust control permit application can vary. It is recommended to submit your application well in advance to allow for sufficient processing time.

Q: Who can I contact for more information about dust control permits?
A: For more information about dust control permits for demolition activities or earthworks in the City of Philadelphia, you can contact the City's Department of Licenses and Inspections.

ADVERTISEMENT

Form Details:

  • Released on March 17, 2020;
  • The latest edition currently provided by the Department of Public Health - City of Philadelphia, Pennsylvania;
  • Ready to use and print;
  • Easy to customize;
  • Compatible with most PDF-viewing applications;
  • Fill out the form in our online filing application.

Download a printable version of the form by clicking the link below or browse more documents and templates provided by the Department of Public Health - City of Philadelphia, Pennsylvania.

Download Dust Control Permit Application for Demolition Activities or Earthworks - City of Philadelphia, Pennsylvania

4.8 of 5 (28 votes)
  • Dust Control Permit Application for Demolition Activities or Earthworks - City of Philadelphia, Pennsylvania

    1

  • Dust Control Permit Application for Demolition Activities or Earthworks - City of Philadelphia, Pennsylvania, Page 2

    2

  • Dust Control Permit Application for Demolition Activities or Earthworks - City of Philadelphia, Pennsylvania, Page 3

    3

  • Dust Control Permit Application for Demolition Activities or Earthworks - City of Philadelphia, Pennsylvania, Page 4

    4

  • Dust Control Permit Application for Demolition Activities or Earthworks - City of Philadelphia, Pennsylvania, Page 1
  • Dust Control Permit Application for Demolition Activities or Earthworks - City of Philadelphia, Pennsylvania, Page 2
  • Dust Control Permit Application for Demolition Activities or Earthworks - City of Philadelphia, Pennsylvania, Page 3
  • Dust Control Permit Application for Demolition Activities or Earthworks - City of Philadelphia, Pennsylvania, Page 4
Prev 1 2 3 4 Next
ADVERTISEMENT

Related Documents