Form LIC184D Notification of Incomplete Application Child Care Centers 30 Day Noia - California

Notification Icon This version of the form is not currently in use and is provided for reference only. Download this version of Form LIC184D for the current year.

Form LIC184D Notification of Incomplete Application Child Care Centers 30 Day Noia - California

What Is Form LIC184D?

This is a legal form that was released by the California Department of Social Services - a government authority operating within California. As of today, no separate filing guidelines for the form are provided by the issuing department.

FAQ

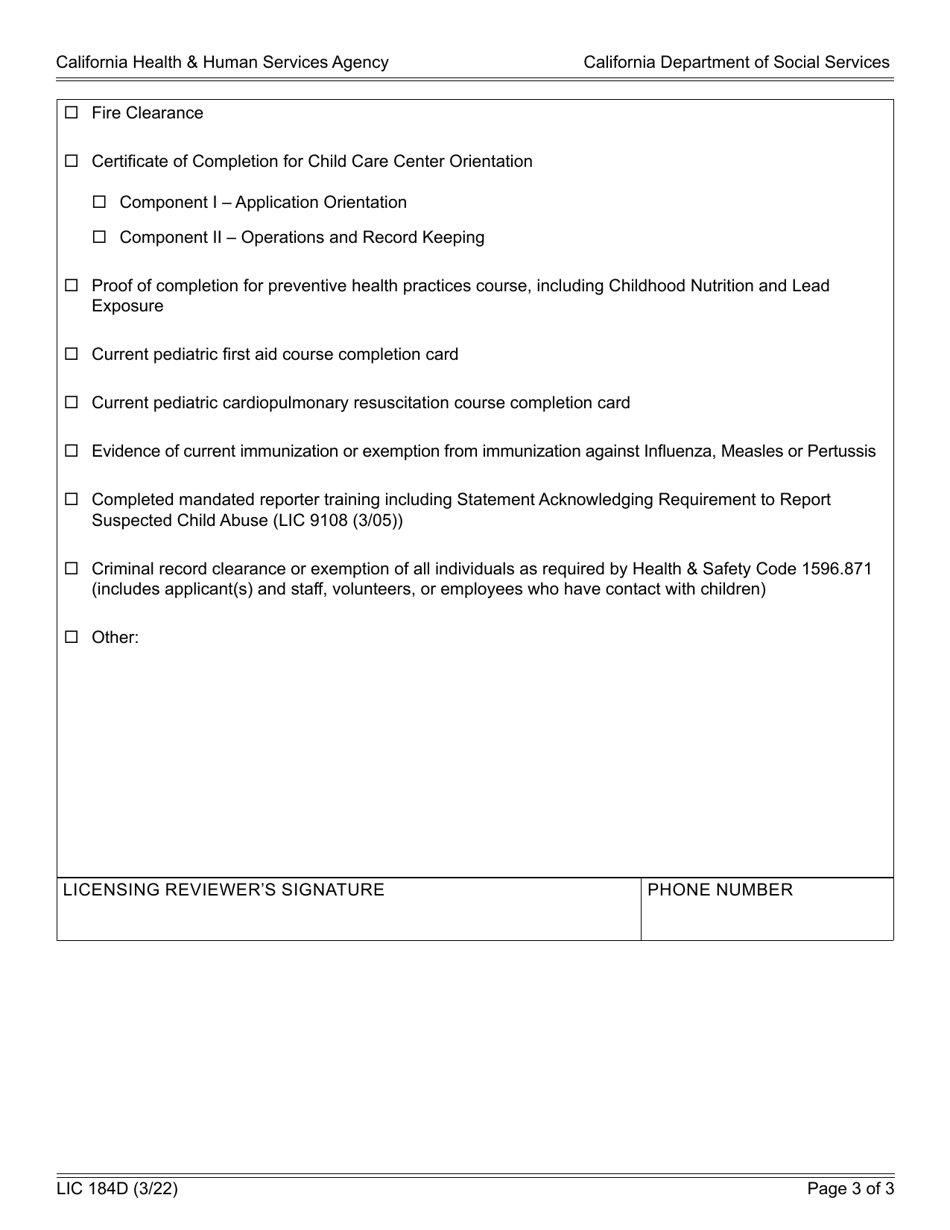
Q: What is LIC184D?
A: LIC184D is a form used in California for notifying child care centers of incomplete applications.

Q: What is the purpose of LIC184D?
A: The purpose of LIC184D is to inform child care centers that their application is incomplete.

Q: Who uses LIC184D?
A: Child care centers in California use LIC184D.

Q: When is LIC184D used?
A: LIC184D is used when a child care center's application is missing required information.

Q: How long does the child care center have to respond to LIC184D?
A: The child care center has 30 days to respond to LIC184D.

Q: What happens if the child care center does not respond to LIC184D?
A: If the child care center does not respond to LIC184D within 30 days, their application may be considered withdrawn.

ADVERTISEMENT

Form Details:

  • Released on March 1, 2022;
  • The latest edition provided by the California Department of Social Services;
  • Easy to use and ready to print;
  • Quick to customize;
  • Compatible with most PDF-viewing applications;
  • Fill out the form in our online filing application.

Download a fillable version of Form LIC184D by clicking the link below or browse more documents and templates provided by the California Department of Social Services.

Download Form LIC184D Notification of Incomplete Application Child Care Centers 30 Day Noia - California

4.6 of 5 (16 votes)
  • Form LIC184D Notification of Incomplete Application Child Care Centers 30 Day Noia - California

    1

  • Form LIC184D Notification of Incomplete Application Child Care Centers 30 Day Noia - California, Page 2

    2

  • Form LIC184D Notification of Incomplete Application Child Care Centers 30 Day Noia - California, Page 3

    3

  • Form LIC184D Notification of Incomplete Application Child Care Centers 30 Day Noia - California, Page 1
  • Form LIC184D Notification of Incomplete Application Child Care Centers 30 Day Noia - California, Page 2
  • Form LIC184D Notification of Incomplete Application Child Care Centers 30 Day Noia - California, Page 3
Prev 1 2 3 Next
ADVERTISEMENT