Form GEN1031 Annual County Training Plan - California

Notification Icon This version of the form is not currently in use and is provided for reference only. Download this version of Form GEN1031 for the current year.

Form GEN1031 Annual County Training Plan - California

What Is Form GEN1031?

This is a legal form that was released by the California Department of Social Services - a government authority operating within California. As of today, no separate filing guidelines for the form are provided by the issuing department.

FAQ

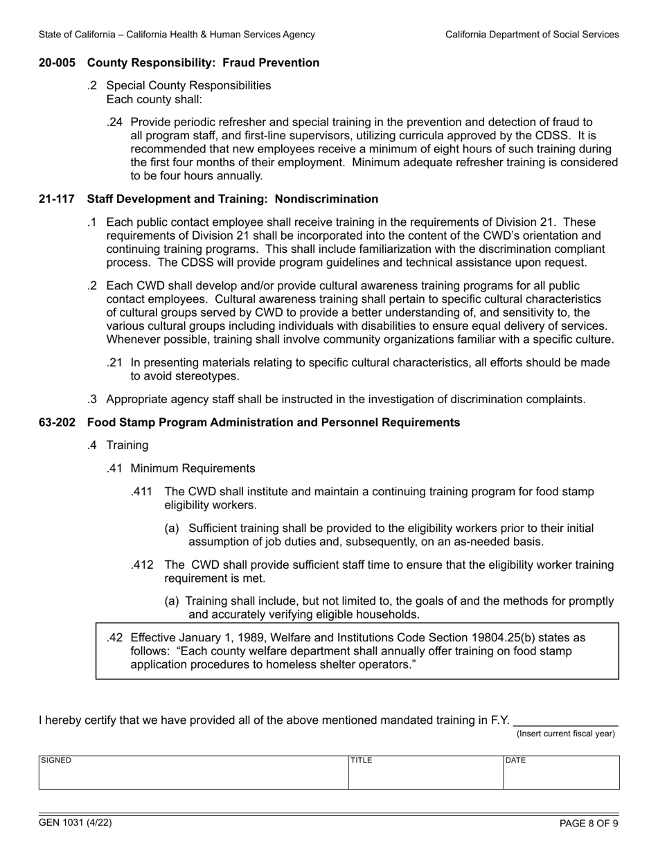
Q: What is GEN1031?
A: GEN1031 is an acronym for the Annual County Training Plan in California.

Q: What does the Annual County Training Plan entail?
A: The Annual County Training Plan outlines the training that will be conducted throughout the year in California's counties.

Q: Why is the Annual County Training Plan important?
A: The Annual County Training Plan ensures that counties in California have a structured and comprehensive approach to training their employees.

Q: Who is responsible for creating the Annual County Training Plan?
A: Each county in California is responsible for creating their own Annual County Training Plan.

Q: What does the GEN1031 form include?
A: The GEN1031 form includes information about the training goals, objectives, target audience, and timeline for the training plan.

Q: Is the Annual County Training Plan mandatory?
A: Yes, the Annual County Training Plan is mandatory for all counties in California.

Q: Can counties modify their Annual County Training Plan throughout the year?
A: Yes, counties may modify their Annual County Training Plan as needed throughout the year, with appropriate approvals.

Q: Do all employees in a county have to undergo the training outlined in the plan?
A: Yes, all employees in a county are required to undergo the training outlined in the Annual County Training Plan.

Q: Is there any specific format or template for the Annual County Training Plan?
A: While there is no specific format or template provided, counties are encouraged to use the GEN1031 form as a guideline when creating their Annual County Training Plan.

Q: What happens if a county does not comply with the Annual County Training Plan requirement?
A: Failure to comply with the Annual County Training Plan requirement may result in penalties or non-compliance issues for the county.

ADVERTISEMENT

Form Details:

  • Released on April 1, 2022;
  • The latest edition provided by the California Department of Social Services;
  • Easy to use and ready to print;
  • Quick to customize;
  • Compatible with most PDF-viewing applications;
  • Fill out the form in our online filing application.

Download a fillable version of Form GEN1031 by clicking the link below or browse more documents and templates provided by the California Department of Social Services.

Download Form GEN1031 Annual County Training Plan - California

4.6 of 5 (17 votes)
  • Form GEN1031 Annual County Training Plan - California

    1

  • Form GEN1031 Annual County Training Plan - California, Page 2

    2

  • Form GEN1031 Annual County Training Plan - California, Page 3

    3

  • Form GEN1031 Annual County Training Plan - California, Page 4

    4

  • Form GEN1031 Annual County Training Plan - California, Page 5

    5

  • Form GEN1031 Annual County Training Plan - California, Page 6

    6

  • Form GEN1031 Annual County Training Plan - California, Page 7

    7

  • Form GEN1031 Annual County Training Plan - California, Page 8

    8

  • Form GEN1031 Annual County Training Plan - California, Page 9

    9

  • Form GEN1031 Annual County Training Plan - California, Page 1
  • Form GEN1031 Annual County Training Plan - California, Page 2
  • Form GEN1031 Annual County Training Plan - California, Page 3
  • Form GEN1031 Annual County Training Plan - California, Page 4
  • Form GEN1031 Annual County Training Plan - California, Page 5
  • Form GEN1031 Annual County Training Plan - California, Page 6
  • Form GEN1031 Annual County Training Plan - California, Page 7
  • Form GEN1031 Annual County Training Plan - California, Page 8
  • Form GEN1031 Annual County Training Plan - California, Page 9
Prev 1 2 3 4 5 ... 9 Next
ADVERTISEMENT