Form F-6 (SEC Form 2001) Registration Statement Under the Securities Act of 1933 for Depositary Shares Evidenced by American Depositary Receipts

Form F-6 (SEC Form 2001) Registration Statement Under the Securities Act of 1933 for Depositary Shares Evidenced by American Depositary Receipts

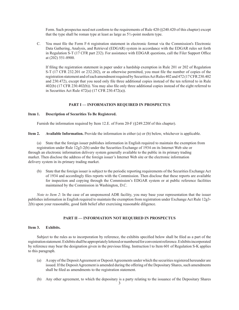
What Is Form F-6 (SEC Form 2001)?

This is a legal form that was released by the U.S. Securities and Exchange Commission on November 1, 2018 and used country-wide. As of today, no separate filing guidelines for the form are provided by the issuing department.

FAQ

Q: What is Form F-6?
A: Form F-6 is a registration statement under the Securities Act of 1933 for depositary shares evidenced by American Depositary Receipts (ADRs).

Q: What does Form F-6 register?
A: Form F-6 registers the offering and sale of depositary shares represented by American Depositary Receipts (ADRs).

Q: What is the purpose of Form F-6?
A: The purpose of Form F-6 is to provide transparency and regulatory oversight for the offering and sale of depositary shares through American Depositary Receipts.

Q: What is a depositary share?
A: A depositary share is a unit of ownership in a foreign company that is represented by an American Depositary Receipt (ADR).

Q: What is an American Depositary Receipt (ADR)?
A: An American Depositary Receipt (ADR) is a negotiable security that represents ownership in shares of a foreign company held by a U.S. bank.

Q: What is the Securities Act of 1933?
A: The Securities Act of 1933 is a federal law that regulates the offering and sale of securities to protect investors from fraud and ensure transparency in the market.

Q: Who is required to file Form F-6?
A: Any company seeking to offer and sell depositary shares through American Depositary Receipts (ADRs) in the United States is required to file Form F-6.

Q: Is Form F-6 specific to any particular country?
A: No, Form F-6 is specific to the United States and is used for the registration of depositary shares represented by American Depositary Receipts (ADRs) in the U.S. market.

Q: Are ADRs traded on U.S. stock exchanges?
A: Yes, ADRs are traded on U.S. stock exchanges just like regular stocks, providing U.S. investors with an opportunity to invest in foreign companies.

Q: What information is included in Form F-6?
A: Form F-6 includes information about the company offering the depositary shares, the terms of the offering, financial statements, and other relevant disclosures.

Q: Can individuals invest in depositary shares and ADRs?
A: Yes, individuals can invest in depositary shares and ADRs through brokerage accounts, allowing them to gain exposure to foreign companies without directly owning the foreign company's shares.

Q: Is filing Form F-6 a requirement for offering depositary shares in the U.S.?
A: Yes, filing Form F-6 is a requirement for companies offering depositary shares represented by American Depositary Receipts (ADRs) in the United States.

ADVERTISEMENT

Form Details:

  • Released on November 1, 2018;
  • The latest available edition released by the U.S. Securities and Exchange Commission;
  • Easy to use and ready to print;
  • Yours to fill out and keep for your records;
  • Compatible with most PDF-viewing applications;
  • Fill out the form in our online filing application.

Download a printable version of Form F-6 (SEC Form 2001) by clicking the link below or browse more documents and templates provided by the U.S. Securities and Exchange Commission.

Download Form F-6 (SEC Form 2001) Registration Statement Under the Securities Act of 1933 for Depositary Shares Evidenced by American Depositary Receipts

4.5 of 5 (34 votes)
  • Form F-6 (SEC Form 2001) Registration Statement Under the Securities Act of 1933 for Depositary Shares Evidenced by American Depositary Receipts

    1

  • Form F-6 (SEC Form 2001) Registration Statement Under the Securities Act of 1933 for Depositary Shares Evidenced by American Depositary Receipts, Page 2

    2

  • Form F-6 (SEC Form 2001) Registration Statement Under the Securities Act of 1933 for Depositary Shares Evidenced by American Depositary Receipts, Page 3

    3

  • Form F-6 (SEC Form 2001) Registration Statement Under the Securities Act of 1933 for Depositary Shares Evidenced by American Depositary Receipts, Page 4

    4

  • Form F-6 (SEC Form 2001) Registration Statement Under the Securities Act of 1933 for Depositary Shares Evidenced by American Depositary Receipts, Page 5

    5

  • Form F-6 (SEC Form 2001) Registration Statement Under the Securities Act of 1933 for Depositary Shares Evidenced by American Depositary Receipts, Page 1
  • Form F-6 (SEC Form 2001) Registration Statement Under the Securities Act of 1933 for Depositary Shares Evidenced by American Depositary Receipts, Page 2
  • Form F-6 (SEC Form 2001) Registration Statement Under the Securities Act of 1933 for Depositary Shares Evidenced by American Depositary Receipts, Page 3
  • Form F-6 (SEC Form 2001) Registration Statement Under the Securities Act of 1933 for Depositary Shares Evidenced by American Depositary Receipts, Page 4
  • Form F-6 (SEC Form 2001) Registration Statement Under the Securities Act of 1933 for Depositary Shares Evidenced by American Depositary Receipts, Page 5
Prev 1 2 3 4 5 Next
ADVERTISEMENT

Related Documents