Form FDACS-10951 Game Promotion Filing Application - Florida

Form FDACS-10951 Game Promotion Filing Application - Florida

What Is Form FDACS-10951?

This is a legal form that was released by the Florida Department of Agriculture and Consumer Services - a government authority operating within Florida. As of today, no separate filing guidelines for the form are provided by the issuing department.

FAQ

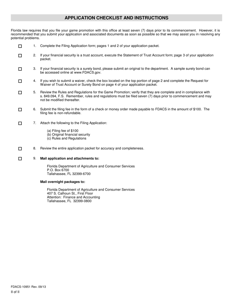
Q: What is Form FDACS-10951?
A: Form FDACS-10951 is the Game Promotion Filing Application for the state of Florida.

Q: What is a game promotion filing application?
A: A game promotion filing application is a form that is required to be submitted to the state of Florida in order to conduct a game promotion or sweepstakes.

Q: Who needs to file Form FDACS-10951?
A: Any individual or organization that is planning to conduct a game promotion or sweepstakes in Florida needs to file Form FDACS-10951.

Q: What information is required on Form FDACS-10951?
A: Form FDACS-10951 requires information about the promoter, including their name, address, and contact information, as well as details about the game promotion or sweepstakes.

Q: Is there a fee for filing Form FDACS-10951?
A: Yes, there is a fee for filing Form FDACS-10951. The fee amount may vary depending on the type and value of the game promotion being conducted.

Q: What happens after submitting Form FDACS-10951?
A: After submitting Form FDACS-10951, the FDACS will review the application and may request additional information or documentation. Once approved, the promoter will receive a permit to conduct the game promotion or sweepstakes in Florida.

ADVERTISEMENT

Form Details:

  • Released on September 1, 2013;
  • The latest edition provided by the Florida Department of Agriculture and Consumer Services;
  • Easy to use and ready to print;
  • Quick to customize;
  • Compatible with most PDF-viewing applications;
  • Fill out the form in our online filing application.

Download a fillable version of Form FDACS-10951 by clicking the link below or browse more documents and templates provided by the Florida Department of Agriculture and Consumer Services.

Download Form FDACS-10951 Game Promotion Filing Application - Florida

4.3 of 5 (24 votes)
  • Form FDACS-10951 Game Promotion Filing Application - Florida

    1

  • Form FDACS-10951 Game Promotion Filing Application - Florida, Page 2

    2

  • Form FDACS-10951 Game Promotion Filing Application - Florida, Page 3

    3

  • Form FDACS-10951 Game Promotion Filing Application - Florida, Page 4

    4

  • Form FDACS-10951 Game Promotion Filing Application - Florida, Page 5

    5

  • Form FDACS-10951 Game Promotion Filing Application - Florida, Page 6

    6

  • Form FDACS-10951 Game Promotion Filing Application - Florida, Page 7

    7

  • Form FDACS-10951 Game Promotion Filing Application - Florida, Page 8

    8

  • Form FDACS-10951 Game Promotion Filing Application - Florida, Page 1
  • Form FDACS-10951 Game Promotion Filing Application - Florida, Page 2
  • Form FDACS-10951 Game Promotion Filing Application - Florida, Page 3
  • Form FDACS-10951 Game Promotion Filing Application - Florida, Page 4
  • Form FDACS-10951 Game Promotion Filing Application - Florida, Page 5
  • Form FDACS-10951 Game Promotion Filing Application - Florida, Page 6
  • Form FDACS-10951 Game Promotion Filing Application - Florida, Page 7
  • Form FDACS-10951 Game Promotion Filing Application - Florida, Page 8
Prev 1 2 3 4 5 ... 8 Next
ADVERTISEMENT