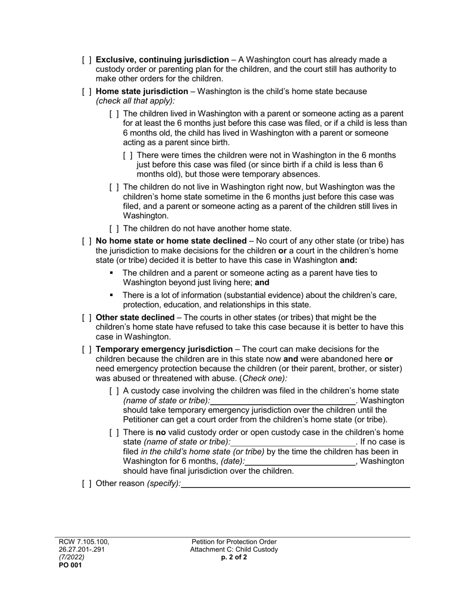
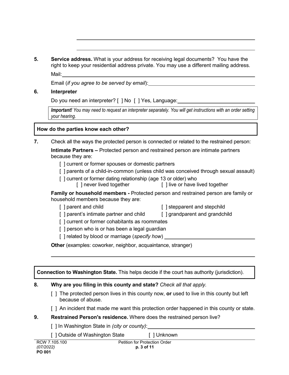
Form PO001 Petition for Protection Order - Washington

Notification Icon This version of the form is not currently in use and is provided for reference only. Download this version of Form PO001 for the current year.

Form PO001 Petition for Protection Order - Washington

What Is Form PO001?

This is a legal form that was released by the Washington State Courts - a government authority operating within Washington. As of today, no separate filing guidelines for the form are provided by the issuing department.

FAQ

Q: What is a Petition for Protection Order?
A: A Petition for Protection Order is a legal document used in Washington to request protection from someone who has threatened or harmed you.

Q: Who can file a Petition for Protection Order?
A: Any person who has been threatened or harmed by someone can file a Petition for Protection Order.

Q: What types of protection orders can be requested in Washington?
A: In Washington, you can request either a Domestic Violence Protection Order or an Anti-Harassment Protection Order.

Q: What is a Domestic Violence Protection Order?
A: A Domestic Violence Protection Order is a court order that aims to protect the victim of domestic violence, abuse, or stalking.

Q: What is an Anti-Harassment Protection Order?
A: An Anti-Harassment Protection Order is a court order that aims to protect the victim from unwanted and repeated harassment or stalking.

Q: What information should be included in a Petition for Protection Order?
A: A Petition for Protection Order should include detailed information about the incidents of harm or threat, as well as the relationship between the petitioner and the respondent.

Q: How can I file a Petition for Protection Order in Washington?
A: To file a Petition for Protection Order in Washington, you will need to complete the appropriate forms and file them with the court.

Q: Are there any fees associated with filing a Petition for Protection Order?
A: There may be fees associated with filing a Petition for Protection Order, but fee waivers are available for those who qualify.

Q: What happens after I file a Petition for Protection Order?
A: After you file a Petition for Protection Order, a hearing will be scheduled where both parties can present their case to the court.

Q: What can I do if the other party violates the Protection Order?
A: If the other party violates the Protection Order, you should contact law enforcement immediately and report the violation.

ADVERTISEMENT

Form Details:

  • Released on July 1, 2022;
  • The latest edition provided by the Washington State Courts;
  • Easy to use and ready to print;
  • Available in Chinese;
  • Quick to customize;
  • Compatible with most PDF-viewing applications;
  • Fill out the form in our online filing application.

Download a printable version of Form PO001 by clicking the link below or browse more documents and templates provided by the Washington State Courts.

Download Form PO001 Petition for Protection Order - Washington

4.8 of 5 (14 votes)
  • Form PO001 Petition for Protection Order - Washington

    1

  • Form PO001 Petition for Protection Order - Washington, Page 2

    2

  • Form PO001 Petition for Protection Order - Washington, Page 3

    3

  • Form PO001 Petition for Protection Order - Washington, Page 4

    4

  • Form PO001 Petition for Protection Order - Washington, Page 5

    5

  • Form PO001 Petition for Protection Order - Washington, Page 6

    6

  • Form PO001 Petition for Protection Order - Washington, Page 7

    7

  • Form PO001 Petition for Protection Order - Washington, Page 8

    8

  • Form PO001 Petition for Protection Order - Washington, Page 9

    9

  • Form PO001 Petition for Protection Order - Washington, Page 10

    10

  • Form PO001 Petition for Protection Order - Washington, Page 11

    11

  • Form PO001 Petition for Protection Order - Washington, Page 12

    12

  • Form PO001 Petition for Protection Order - Washington, Page 13

    13

  • Form PO001 Petition for Protection Order - Washington, Page 14

    14

  • Form PO001 Petition for Protection Order - Washington, Page 15

    15

  • Form PO001 Petition for Protection Order - Washington, Page 16

    16

  • Form PO001 Petition for Protection Order - Washington, Page 17

    17

  • Form PO001 Petition for Protection Order - Washington, Page 18

    18

  • Form PO001 Petition for Protection Order - Washington, Page 19

    19

  • Form PO001 Petition for Protection Order - Washington, Page 1
  • Form PO001 Petition for Protection Order - Washington, Page 2
  • Form PO001 Petition for Protection Order - Washington, Page 3
  • Form PO001 Petition for Protection Order - Washington, Page 4
  • Form PO001 Petition for Protection Order - Washington, Page 5
  • Form PO001 Petition for Protection Order - Washington, Page 6
  • Form PO001 Petition for Protection Order - Washington, Page 7
  • Form PO001 Petition for Protection Order - Washington, Page 8
  • Form PO001 Petition for Protection Order - Washington, Page 9
  • Form PO001 Petition for Protection Order - Washington, Page 10
  • Form PO001 Petition for Protection Order - Washington, Page 11
  • Form PO001 Petition for Protection Order - Washington, Page 12
  • Form PO001 Petition for Protection Order - Washington, Page 13
  • Form PO001 Petition for Protection Order - Washington, Page 14
  • Form PO001 Petition for Protection Order - Washington, Page 15
  • Form PO001 Petition for Protection Order - Washington, Page 16
  • Form PO001 Petition for Protection Order - Washington, Page 17
  • Form PO001 Petition for Protection Order - Washington, Page 18
  • Form PO001 Petition for Protection Order - Washington, Page 19
Prev 1 2 3 4 5 ... 19 Next
ADVERTISEMENT

Related Documents