Form MDJ-004GI Guardianship Investigator's Application for Elevated Access to Mdec Cases - Maryland

Form MDJ-004GI Guardianship Investigator's Application for Elevated Access to Mdec Cases - Maryland

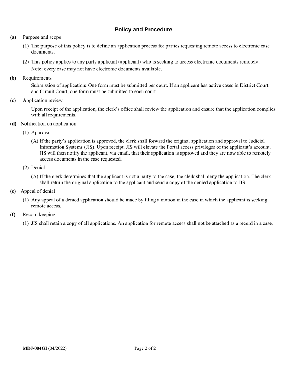
What Is Form MDJ-004GI?

This is a legal form that was released by the Maryland Courts - a government authority operating within Maryland. As of today, no separate filing guidelines for the form are provided by the issuing department.

FAQ

Q: What is Form MDJ-004GI?
A: Form MDJ-004GI is an application used by a guardianship investigator to request elevated access to MDEC cases in Maryland.

Q: Who uses Form MDJ-004GI?
A: Guardianship investigators use Form MDJ-004GI.

Q: What is MDEC?
A: MDEC stands for Maryland Electronic Courts. It is a system that allows electronic access to court records and case information.

Q: Why would a guardianship investigator need elevated access to MDEC cases?
A: A guardianship investigator may need elevated access to MDEC cases to gather information for their investigation or to perform their duties related to the guardianship process.

ADVERTISEMENT

Form Details:

  • Released on April 1, 2022;
  • The latest edition provided by the Maryland Courts;
  • Easy to use and ready to print;
  • Quick to customize;
  • Compatible with most PDF-viewing applications;
  • Fill out the form in our online filing application.

Download a fillable version of Form MDJ-004GI by clicking the link below or browse more documents and templates provided by the Maryland Courts.

Download Form MDJ-004GI Guardianship Investigator's Application for Elevated Access to Mdec Cases - Maryland

4.4 of 5 (29 votes)
  • Form MDJ-004GI Guardianship Investigator's Application for Elevated Access to Mdec Cases - Maryland

    1

  • Form MDJ-004GI Guardianship Investigator's Application for Elevated Access to Mdec Cases - Maryland, Page 2

    2

  • Form MDJ-004GI Guardianship Investigators Application for Elevated Access to Mdec Cases - Maryland, Page 1
  • Form MDJ-004GI Guardianship Investigators Application for Elevated Access to Mdec Cases - Maryland, Page 2
Prev 1 2 Next
ADVERTISEMENT