Form MDJ-004AG Application for Guardianship Access to Mdec Cases - Maryland

Form MDJ-004AG Application for Guardianship Access to Mdec Cases - Maryland

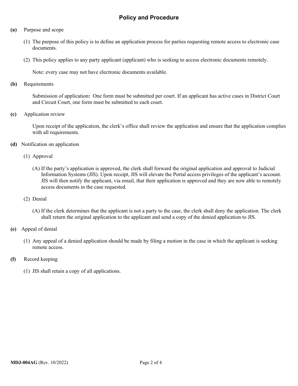
What Is Form MDJ-004AG?

This is a legal form that was released by the Maryland Courts - a government authority operating within Maryland. As of today, no separate filing guidelines for the form are provided by the issuing department.

FAQ

Q: What is Form MDJ-004AG?
A: Form MDJ-004AG is an application for guardianship access to Mdec cases in Maryland.

Q: Who can use Form MDJ-004AG?
A: Anyone who is seeking guardianship access to Mdec cases in Maryland can use Form MDJ-004AG.

Q: What is the purpose of Form MDJ-004AG?
A: The purpose of Form MDJ-004AG is to request access to Mdec cases for guardianship purposes.

Q: Are there any fees associated with filing Form MDJ-004AG?
A: There may be filing fees associated with submitting Form MDJ-004AG. It is best to check with the Maryland Judiciary for the current fee schedule.

Q: Can I get assistance with filling out Form MDJ-004AG?
A: Yes, you can seek assistance from the court clerk or a legal professional to help you fill out Form MDJ-004AG.

Q: Is there a specific deadline for filing Form MDJ-004AG?
A: There may be specific deadlines for filing Form MDJ-004AG, depending on the circumstances. It is important to consult the Maryland Judiciary or seek legal advice to determine the applicable deadlines.

ADVERTISEMENT

Form Details:

  • Released on October 1, 2022;
  • The latest edition provided by the Maryland Courts;
  • Easy to use and ready to print;
  • Quick to customize;
  • Compatible with most PDF-viewing applications;
  • Fill out the form in our online filing application.

Download a fillable version of Form MDJ-004AG by clicking the link below or browse more documents and templates provided by the Maryland Courts.

Download Form MDJ-004AG Application for Guardianship Access to Mdec Cases - Maryland

4.7 of 5 (23 votes)
  • Form MDJ-004AG Application for Guardianship Access to Mdec Cases - Maryland

    1

  • Form MDJ-004AG Application for Guardianship Access to Mdec Cases - Maryland, Page 2

    2

  • Form MDJ-004AG Application for Guardianship Access to Mdec Cases - Maryland, Page 3

    3

  • Form MDJ-004AG Application for Guardianship Access to Mdec Cases - Maryland, Page 4

    4

  • Form MDJ-004AG Application for Guardianship Access to Mdec Cases - Maryland, Page 1
  • Form MDJ-004AG Application for Guardianship Access to Mdec Cases - Maryland, Page 2
  • Form MDJ-004AG Application for Guardianship Access to Mdec Cases - Maryland, Page 3
  • Form MDJ-004AG Application for Guardianship Access to Mdec Cases - Maryland, Page 4
Prev 1 2 3 4 Next
ADVERTISEMENT

Related Documents