Site Condominium & Site Plan Review Application - City of Ionia, Michigan

Site Condominium & Site Plan Review Application - City of Ionia, Michigan

Site Condominium & Site Plan Review Application is a legal document that was released by the Planning and Zoning Department - City of Ionia, Michigan - a government authority operating within Michigan. The form may be used strictly within City of Ionia.

FAQ

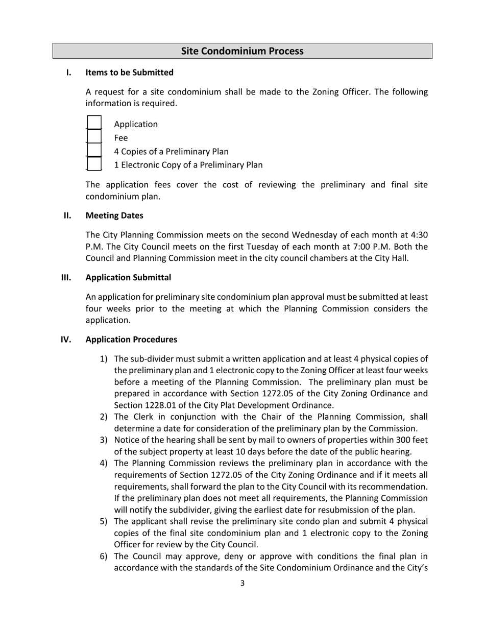
Q: What is a site condominium?
A: A site condominium is a type of housing where owners individually own the buildings and the land on which they are built.

Q: What is a site plan review application?
A: A site plan review application is a process where the city reviews and approves the plans for a proposed development or construction project.

Q: Why is a site plan review application required?
A: A site plan review application is required to ensure that proposed developments comply with zoning regulations, building codes, and other city ordinances.

Q: How do I submit a site plan review application in the City of Ionia, Michigan?
A: You can submit a site plan review application to the City of Ionia's Planning and Zoning Department. Contact the department for specific instructions on submitting the application.

Q: What should be included in a site plan review application?
A: A site plan review application should include detailed plans and drawings of the proposed development, information about the project's impact on the surrounding area, and any necessary permits or approvals.

Q: How long does it take for a site plan review application to be processed?
A: The processing time for a site plan review application can vary depending on the complexity of the project and the workload of the city's Planning and Zoning Department. Contact the department for an estimated processing time.

Q: Are there any fees associated with submitting a site plan review application?
A: Yes, there are usually fees associated with submitting a site plan review application. Contact the City of Ionia's Planning and Zoning Department for information on the fees.

Q: What happens after a site plan review application is approved?
A: After a site plan review application is approved, the project can proceed to the construction phase. The applicant may also need to obtain additional permits or approvals before construction can begin.

ADVERTISEMENT

Form Details:

  • The latest edition currently provided by the Planning and Zoning Department - City of Ionia, Michigan;
  • Ready to use and print;
  • Easy to customize;
  • Compatible with most PDF-viewing applications;
  • Fill out the form in our online filing application.

Download a fillable version of the form by clicking the link below or browse more documents and templates provided by the Planning and Zoning Department - City of Ionia, Michigan.

Download Site Condominium & Site Plan Review Application - City of Ionia, Michigan

4.5 of 5 (22 votes)
  • Site Condominium & Site Plan Review Application - City of Ionia, Michigan

    1

  • Site Condominium & Site Plan Review Application - City of Ionia, Michigan, Page 2

    2

  • Site Condominium & Site Plan Review Application - City of Ionia, Michigan, Page 3

    3

  • Site Condominium & Site Plan Review Application - City of Ionia, Michigan, Page 4

    4

  • Site Condominium & Site Plan Review Application - City of Ionia, Michigan, Page 5

    5

  • Site Condominium & Site Plan Review Application - City of Ionia, Michigan, Page 6

    6

  • Site Condominium & Site Plan Review Application - City of Ionia, Michigan, Page 7

    7

  • Site Condominium  Site Plan Review Application - City of Ionia, Michigan, Page 1
  • Site Condominium  Site Plan Review Application - City of Ionia, Michigan, Page 2
  • Site Condominium  Site Plan Review Application - City of Ionia, Michigan, Page 3
  • Site Condominium  Site Plan Review Application - City of Ionia, Michigan, Page 4
  • Site Condominium  Site Plan Review Application - City of Ionia, Michigan, Page 5
  • Site Condominium  Site Plan Review Application - City of Ionia, Michigan, Page 6
  • Site Condominium  Site Plan Review Application - City of Ionia, Michigan, Page 7
Prev 1 2 3 4 5 ... 7 Next
ADVERTISEMENT