Site Plan Review Application - City of Ionia, Michigan

Site Plan Review Application - City of Ionia, Michigan

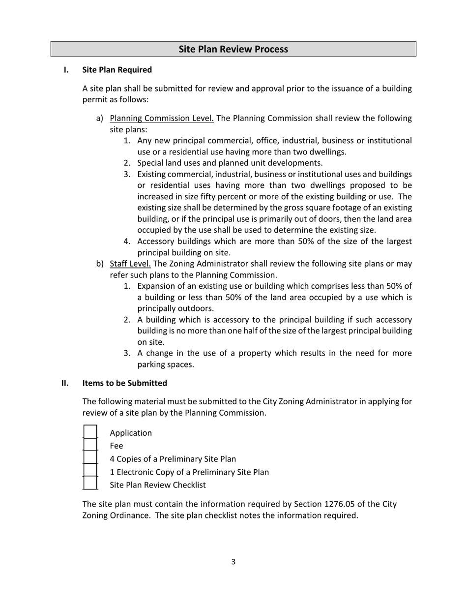
Site Plan Review Application is a legal document that was released by the Planning and Zoning Department - City of Ionia, Michigan - a government authority operating within Michigan. The form may be used strictly within City of Ionia.

FAQ

Q: What is a site plan review application?
A: A site plan review application is a document submitted to the City of Ionia, Michigan for review and approval of development plans.

Q: Why is a site plan review application required?
A: A site plan review application is required to ensure that proposed developments comply with zoning regulations and meet the city's standards and requirements.

Q: What information is typically included in a site plan review application?
A: A site plan review application typically includes details about the proposed development, such as the site layout, building plans, parking arrangements, landscaping, and utilities.

Q: How long does it take for a site plan review application to be processed?
A: The processing time for a site plan review application varies, but it typically takes several weeks to a few months depending on the complexity of the project.

Q: Who reviews and approves site plan review applications in the City of Ionia, Michigan?
A: Site plan review applications in the City of Ionia, Michigan are reviewed and approved by the Planning Commission or a designated review board.

Q: Are there any fees associated with submitting a site plan review application?
A: Yes, there are usually fees associated with submitting a site plan review application. The specific fees can be obtained from the City of Ionia's Planning Department.

ADVERTISEMENT

Form Details:

  • The latest edition currently provided by the Planning and Zoning Department - City of Ionia, Michigan;
  • Ready to use and print;
  • Easy to customize;
  • Compatible with most PDF-viewing applications;
  • Fill out the form in our online filing application.

Download a fillable version of the form by clicking the link below or browse more documents and templates provided by the Planning and Zoning Department - City of Ionia, Michigan.

Download Site Plan Review Application - City of Ionia, Michigan

4.8 of 5 (8 votes)
  • Site Plan Review Application - City of Ionia, Michigan

    1

  • Site Plan Review Application - City of Ionia, Michigan, Page 2

    2

  • Site Plan Review Application - City of Ionia, Michigan, Page 3

    3

  • Site Plan Review Application - City of Ionia, Michigan, Page 4

    4

  • Site Plan Review Application - City of Ionia, Michigan, Page 5

    5

  • Site Plan Review Application - City of Ionia, Michigan, Page 6

    6

  • Site Plan Review Application - City of Ionia, Michigan, Page 7

    7

  • Site Plan Review Application - City of Ionia, Michigan, Page 1
  • Site Plan Review Application - City of Ionia, Michigan, Page 2
  • Site Plan Review Application - City of Ionia, Michigan, Page 3
  • Site Plan Review Application - City of Ionia, Michigan, Page 4
  • Site Plan Review Application - City of Ionia, Michigan, Page 5
  • Site Plan Review Application - City of Ionia, Michigan, Page 6
  • Site Plan Review Application - City of Ionia, Michigan, Page 7
Prev 1 2 3 4 5 ... 7 Next
ADVERTISEMENT