Form EQP5969 Water Supply Cross Connection Report for Systems Serving Only Residential Accounts - Michigan

Notification Icon This version of the form is not currently in use and is provided for reference only. Download this version of Form EQP5969 for the current year.

Form EQP5969 Water Supply Cross Connection Report for Systems Serving Only Residential Accounts - Michigan

What Is Form EQP5969?

This is a legal form that was released by the Michigan Department of Environment, Great Lakes, and Energy - a government authority operating within Michigan. As of today, no separate filing guidelines for the form are provided by the issuing department.

FAQ

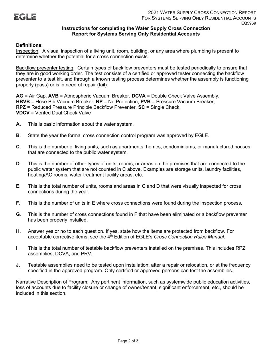
Q: What is EQP5969?
A: EQP5969 is the form used to report water supply cross connections for systems serving only residential accounts in Michigan.

Q: What is a water supply cross connection?
A: A water supply cross connection is any actual or potential physical connection between a potable water system and any source of contamination or pollution.

Q: Who should fill out the EQP5969 form?
A: The EQP5969 form should be filled out by systems serving only residential accounts in Michigan.

Q: What information is required on the EQP5969 form?
A: The EQP5969 form requires information such as system name, address, contact information, number of residential service connections, and a description of the system's backflow prevention program.

ADVERTISEMENT

Form Details:

  • Released on January 1, 2022;
  • The latest edition provided by the Michigan Department of Environment, Great Lakes, and Energy;
  • Easy to use and ready to print;
  • Quick to customize;
  • Compatible with most PDF-viewing applications;
  • Fill out the form in our online filing application.

Download a fillable version of Form EQP5969 by clicking the link below or browse more documents and templates provided by the Michigan Department of Environment, Great Lakes, and Energy.

Download Form EQP5969 Water Supply Cross Connection Report for Systems Serving Only Residential Accounts - Michigan

4.7 of 5 (23 votes)
  • Form EQP5969 Water Supply Cross Connection Report for Systems Serving Only Residential Accounts - Michigan

    1

  • Form EQP5969 Water Supply Cross Connection Report for Systems Serving Only Residential Accounts - Michigan, Page 2

    2

  • Form EQP5969 Water Supply Cross Connection Report for Systems Serving Only Residential Accounts - Michigan, Page 3

    3

  • Form EQP5969 Water Supply Cross Connection Report for Systems Serving Only Residential Accounts - Michigan, Page 1
  • Form EQP5969 Water Supply Cross Connection Report for Systems Serving Only Residential Accounts - Michigan, Page 2
  • Form EQP5969 Water Supply Cross Connection Report for Systems Serving Only Residential Accounts - Michigan, Page 3
Prev 1 2 3 Next
ADVERTISEMENT