Form F-62588 Feeding Assistant Training Program Application - Wisconsin

Form F-62588 Feeding Assistant Training Program Application - Wisconsin

What Is Form F-62588?

This is a legal form that was released by the Wisconsin Department of Health Services - a government authority operating within Wisconsin. As of today, no separate filing guidelines for the form are provided by the issuing department.

FAQ

Q: What is Form F-62588?
A: Form F-62588 is the application form for the Feeding Assistant Training Program in Wisconsin.

Q: What is the Feeding Assistant Training Program?
A: The Feeding Assistant Training Program is a program in Wisconsin that trains individuals to become feeding assistants.

Q: Who can apply for the Feeding Assistant Training Program?
A: Anyone who meets the eligibility requirements outlined in the application form can apply for the Feeding Assistant Training Program.

Q: What information needs to be provided in Form F-62588?
A: Form F-62588 requires applicants to provide personal information, education and training information, and consent for background checks.

Q: Are there any fees associated with the Feeding Assistant Training Program?
A: No, there are no fees associated with the Feeding Assistant Training Program in Wisconsin.

Q: How long does the Feeding Assistant Training Program last?
A: The duration of the Feeding Assistant Training Program may vary, but it typically takes a few weeks to complete.

Q: What are the job prospects for graduates of the Feeding Assistant Training Program?
A: Graduates of the Feeding Assistant Training Program can find job opportunities in nursing homes, hospitals, and other healthcare facilities.

Q: Is the Feeding Assistant Training Program available in other states?
A: The Feeding Assistant Training Program is specific to the state of Wisconsin. Other states may have similar programs.

Q: Who should I contact for more information about the Feeding Assistant Training Program?
A: For more information about the Feeding Assistant Training Program, you can contact the Wisconsin Department of Health Services.

ADVERTISEMENT

Form Details:

  • Released on July 1, 2017;
  • The latest edition provided by the Wisconsin Department of Health Services;
  • Easy to use and ready to print;
  • Quick to customize;
  • Compatible with most PDF-viewing applications;
  • Fill out the form in our online filing application.

Download a printable version of Form F-62588 by clicking the link below or browse more documents and templates provided by the Wisconsin Department of Health Services.

Download Form F-62588 Feeding Assistant Training Program Application - Wisconsin

4.7 of 5 (13 votes)
  • Form F-62588 Feeding Assistant Training Program Application - Wisconsin

    1

  • Form F-62588 Feeding Assistant Training Program Application - Wisconsin, Page 2

    2

  • Form F-62588 Feeding Assistant Training Program Application - Wisconsin, Page 3

    3

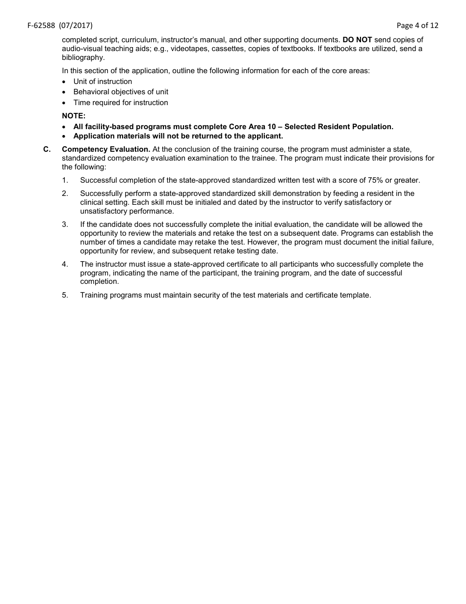
  • Form F-62588 Feeding Assistant Training Program Application - Wisconsin, Page 4

    4

  • Form F-62588 Feeding Assistant Training Program Application - Wisconsin, Page 5

    5

  • Form F-62588 Feeding Assistant Training Program Application - Wisconsin, Page 6

    6

  • Form F-62588 Feeding Assistant Training Program Application - Wisconsin, Page 7

    7

  • Form F-62588 Feeding Assistant Training Program Application - Wisconsin, Page 8

    8

  • Form F-62588 Feeding Assistant Training Program Application - Wisconsin, Page 9

    9

  • Form F-62588 Feeding Assistant Training Program Application - Wisconsin, Page 10

    10

  • Form F-62588 Feeding Assistant Training Program Application - Wisconsin, Page 11

    11

  • Form F-62588 Feeding Assistant Training Program Application - Wisconsin, Page 12

    12

  • Form F-62588 Feeding Assistant Training Program Application - Wisconsin, Page 1
  • Form F-62588 Feeding Assistant Training Program Application - Wisconsin, Page 2
  • Form F-62588 Feeding Assistant Training Program Application - Wisconsin, Page 3
  • Form F-62588 Feeding Assistant Training Program Application - Wisconsin, Page 4
  • Form F-62588 Feeding Assistant Training Program Application - Wisconsin, Page 5
  • Form F-62588 Feeding Assistant Training Program Application - Wisconsin, Page 6
  • Form F-62588 Feeding Assistant Training Program Application - Wisconsin, Page 7
  • Form F-62588 Feeding Assistant Training Program Application - Wisconsin, Page 8
  • Form F-62588 Feeding Assistant Training Program Application - Wisconsin, Page 9
  • Form F-62588 Feeding Assistant Training Program Application - Wisconsin, Page 10
  • Form F-62588 Feeding Assistant Training Program Application - Wisconsin, Page 11
  • Form F-62588 Feeding Assistant Training Program Application - Wisconsin, Page 12
Prev 1 2 3 4 5 ... 12 Next
ADVERTISEMENT

Related Documents