Form F-02494 Prior Authorization / Speech-Generating Device Skills and Needs Profile Attachment - Wisconsin

Form F-02494 Prior Authorization / Speech-Generating Device Skills and Needs Profile Attachment - Wisconsin

What Is Form F-02494?

This is a legal form that was released by the Wisconsin Department of Health Services - a government authority operating within Wisconsin. Check the official instructions before completing and submitting the form.

FAQ

Q: What is Form F-02494?
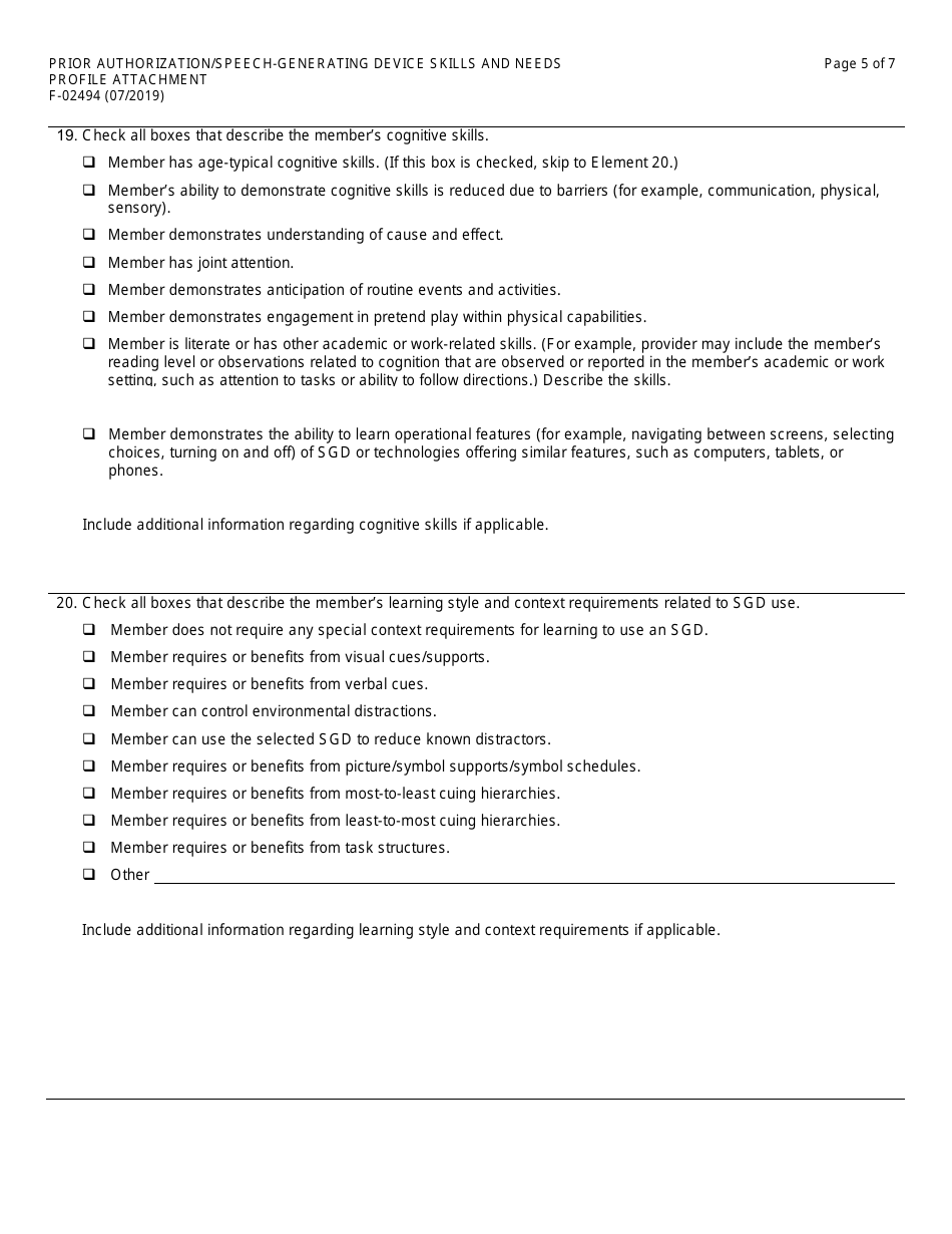
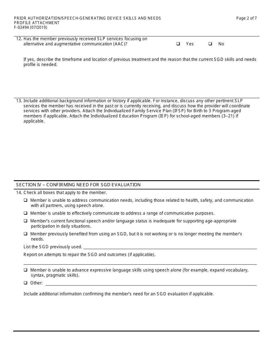
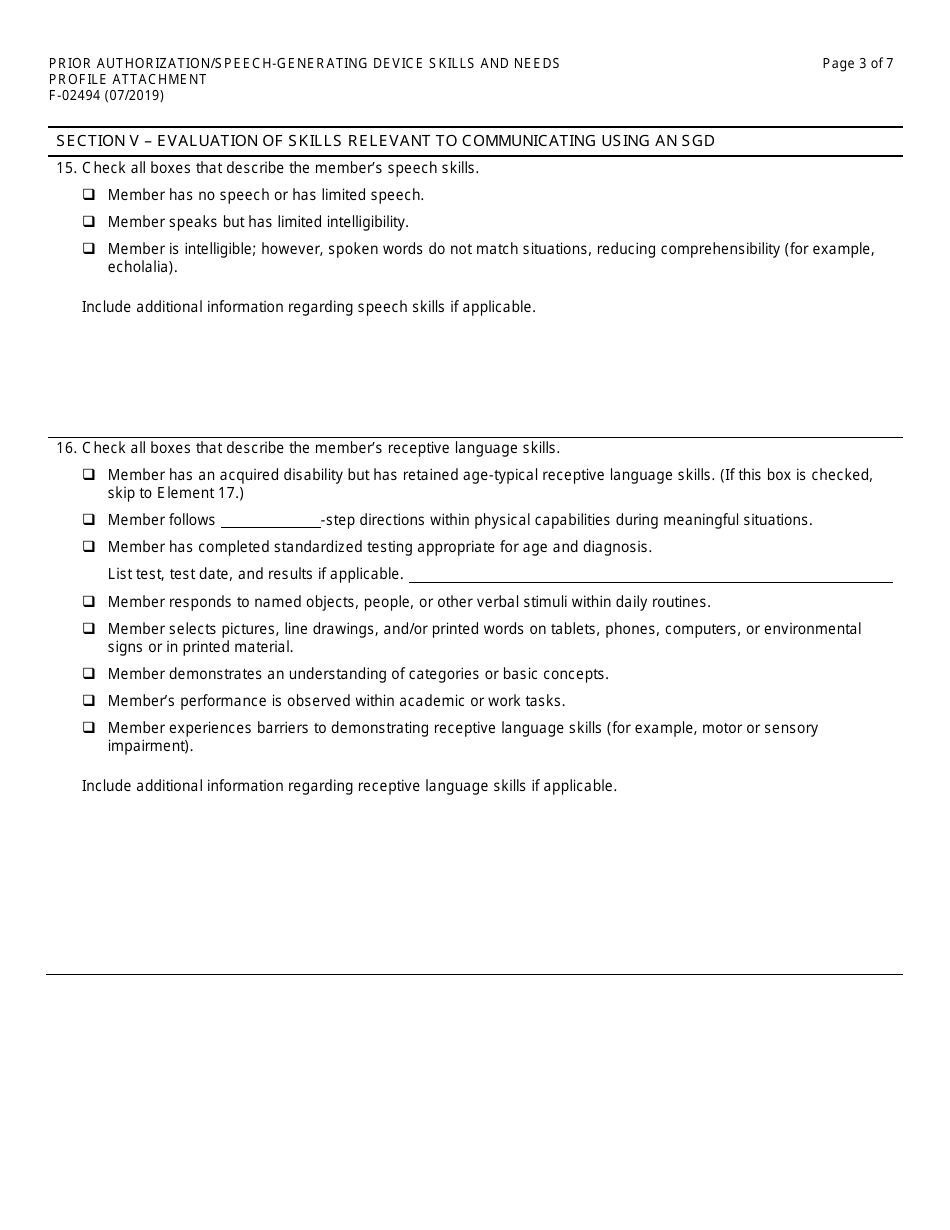
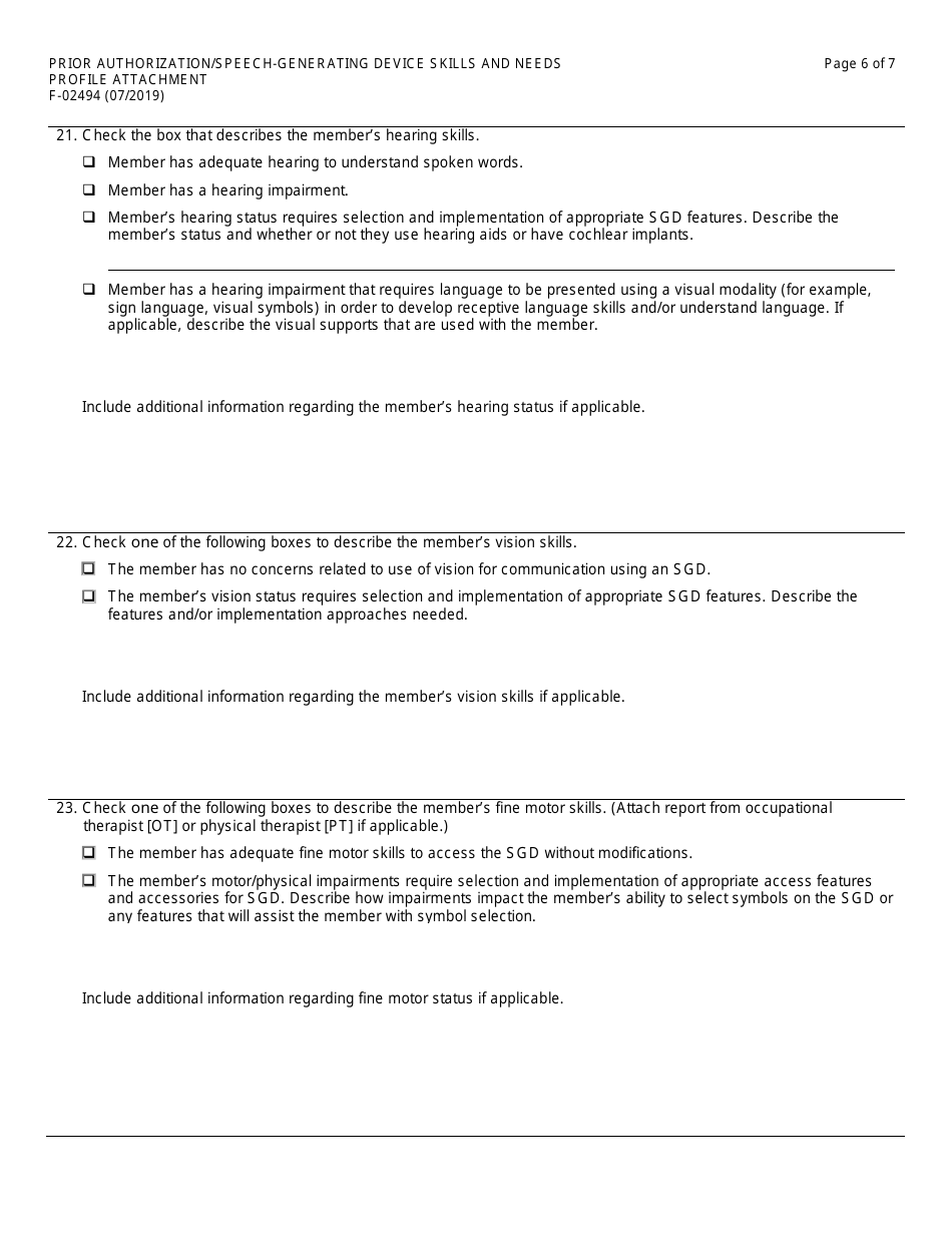
A: Form F-02494 is a Prior Authorization/Speech-Generating Device Skills and Needs Profile Attachment used in Wisconsin.

Q: What is a prior authorization?
A: Prior authorization is a requirement from an insurance company that must be met before they will cover the cost of a speech-generating device.

Q: What is a speech-generating device?
A: A speech-generating device is a tool that helps individuals with communication disabilities to express themselves.

Q: What is the purpose of Form F-02494?
A: The purpose of Form F-02494 is to provide detailed information about the skills and needs of the individual who requires a speech-generating device.

Q: Who uses Form F-02494?
A: Form F-02494 is used by individuals in Wisconsin who are seeking prior authorization for a speech-generating device.

Q: What information is required on Form F-02494?
A: Form F-02494 requires information about the individual's communication abilities, device requirements, and medical necessity.

ADVERTISEMENT

Form Details:

  • Released on July 1, 2019;
  • The latest edition provided by the Wisconsin Department of Health Services;
  • Easy to use and ready to print;
  • Quick to customize;
  • Compatible with most PDF-viewing applications;
  • Fill out the form in our online filing application.

Download a fillable version of Form F-02494 by clicking the link below or browse more documents and templates provided by the Wisconsin Department of Health Services.

Download Form F-02494 Prior Authorization / Speech-Generating Device Skills and Needs Profile Attachment - Wisconsin

4.5 of 5 (17 votes)
  • Form F-02494 Prior Authorization/Speech-Generating Device Skills and Needs Profile Attachment - Wisconsin

    1

  • Form F-02494 Prior Authorization/Speech-Generating Device Skills and Needs Profile Attachment - Wisconsin, Page 2

    2

  • Form F-02494 Prior Authorization/Speech-Generating Device Skills and Needs Profile Attachment - Wisconsin, Page 3

    3

  • Form F-02494 Prior Authorization/Speech-Generating Device Skills and Needs Profile Attachment - Wisconsin, Page 4

    4

  • Form F-02494 Prior Authorization/Speech-Generating Device Skills and Needs Profile Attachment - Wisconsin, Page 5

    5

  • Form F-02494 Prior Authorization/Speech-Generating Device Skills and Needs Profile Attachment - Wisconsin, Page 6

    6

  • Form F-02494 Prior Authorization/Speech-Generating Device Skills and Needs Profile Attachment - Wisconsin, Page 7

    7

  • Form F-02494 Prior Authorization / Speech-Generating Device Skills and Needs Profile Attachment - Wisconsin, Page 1
  • Form F-02494 Prior Authorization / Speech-Generating Device Skills and Needs Profile Attachment - Wisconsin, Page 2
  • Form F-02494 Prior Authorization / Speech-Generating Device Skills and Needs Profile Attachment - Wisconsin, Page 3
  • Form F-02494 Prior Authorization / Speech-Generating Device Skills and Needs Profile Attachment - Wisconsin, Page 4
  • Form F-02494 Prior Authorization / Speech-Generating Device Skills and Needs Profile Attachment - Wisconsin, Page 5
  • Form F-02494 Prior Authorization / Speech-Generating Device Skills and Needs Profile Attachment - Wisconsin, Page 6
  • Form F-02494 Prior Authorization / Speech-Generating Device Skills and Needs Profile Attachment - Wisconsin, Page 7
Prev 1 2 3 4 5 ... 7 Next
ADVERTISEMENT